Hjälp med att förstå en uppgift
Hej!
Jag läser matematik 2b och sitter med en uppgift, varav frågan lyder:
''Punkterna (−4, 6) , (5, 7) , (6, −2) och (−6, −4) utgör hörnen i en fyrhörning. Bestäm koordinaterna för den punkt där fyrhörningens diagonaler skär varandra. Svara exakt.''
Jag förstår frågan, och jag har kommit långt på vägen. Problemet är att jag inte förstår hur jag ska göra nu i slutet för att få fram det slutgiltiga svaret. Såhär långt har jag kommit:
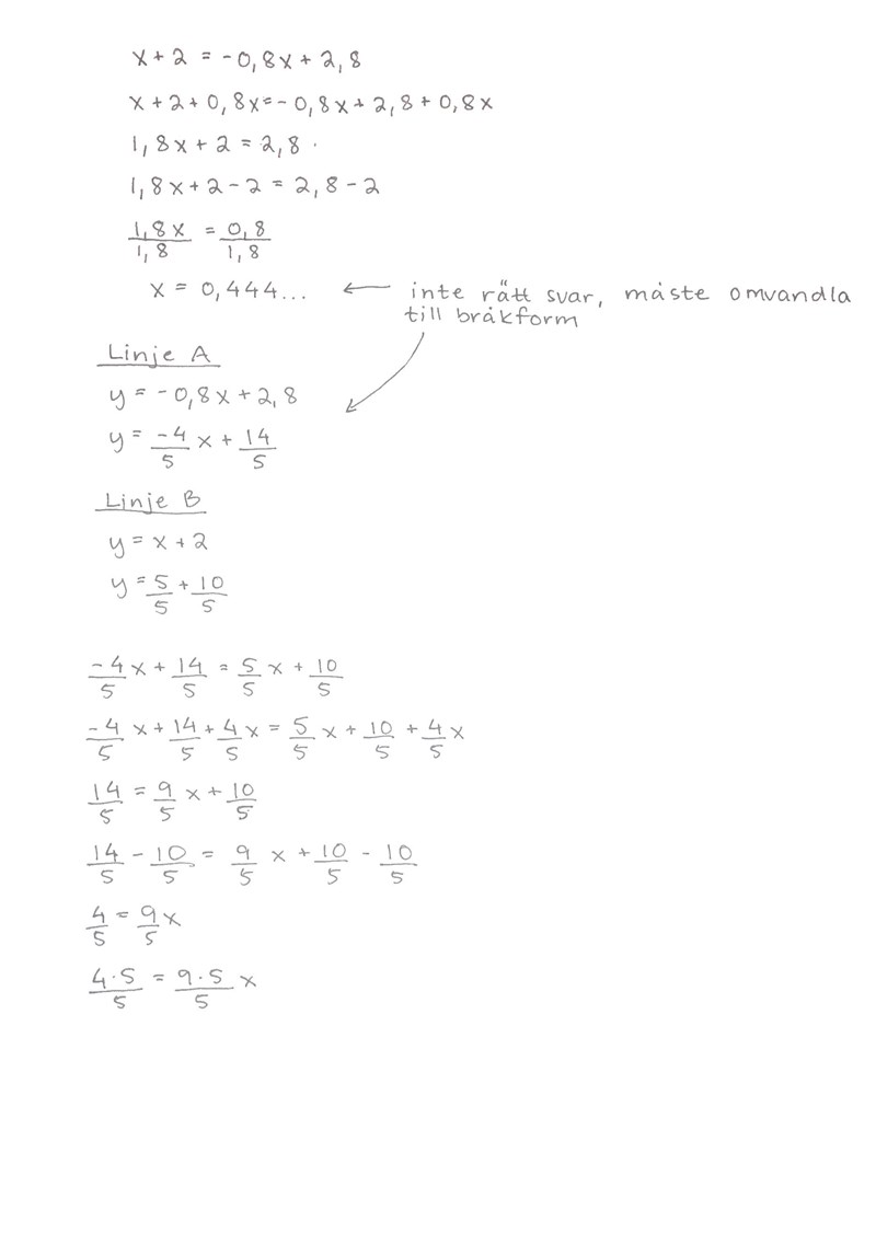
Jag har ritat ett koordinatsystem där jag märkt ut punkterna i frågan och dragit diagonala linjer emellan så jag har fått två grafer. Jag har räknat ut k- och m-värde:
LINJE A
(-4,6) och (6,-2)
k = Δy / Δx = (-2)-6 / 6-(-4) = -8/10 = -0,8
y = -0,8x + m
-2 = -0,8x + m
-2 = -0,8x · 6 + m
-2 = -4,8x + m
-2+4,8 = -4,8x+4,8 + m
m = 2,8
y = -0,8x + 2,8
LINJE B
(5,7) och (-6,-4)
k = Δy / Δx = (-4)-7 / 6-(-5) = -11/-11 = 1
y = x + m
7 = 1 · 5 + m
7-5 = 5-5 + m
m = 2
y = x + 2
x + 2+ (-0,8) = -0,8 + 2,8+ (-0,8)
1,8x + 2-2 = 2,8-2
1,8x / 1,8 = -0,8 / 1,8
x = 0,444444....
Men det kan ju inte vara rätt svar, så jag måste väl omvandla linje A's ekvation till bråk istället?
Så nu blir det
y =
Men det är nu jag inte vet hur jag ska fortsätta? Jag ser att koordinaterna för brytningspunkten ska bli typ (0,5 , 2,5) ungefär i koordinatsystemet. Men jag vet inte hur jag ska få fram de exakta koordinaterna.
Hade någon kunnat hjälpa mig vidare med tips hade det varit guld värt!!!
aeco skrev:Hej!
Jag läser matematik 2b och sitter med en uppgift, varav frågan lyder:
''Punkterna (−4, 6) , (5, 7) , (6, −2) och (−6, −4) utgör hörnen i en fyrhörning. Bestäm koordinaterna för den punkt där fyrhörningens diagonaler skär varandra. Svara exakt.''
Jag förstår frågan, och jag har kommit långt på vägen. Problemet är att jag inte förstår hur jag ska göra nu i slutet för att få fram det slutgiltiga svaret. Såhär långt har jag kommit:
Jag har ritat ett koordinatsystem där jag märkt ut punkterna i frågan och dragit diagonala linjer emellan så jag har fått två grafer. Jag har räknat ut k- och m-värde:
LINJE A
(-4,6) och (6,-2)
k = Δy / Δx = (-2)-6 / 6-(-4) = -8/10 = -0,8
y = -0,8x + m
-2 = -0,8x + m
-2 = -0,8x · 6 + m
-2 = -4,8x + m
-2+4,8 = -4,8x+4,8 + m
m = 2,8
y = -0,8x + 2,8
LINJE B
(5,7) och (-6,-4)
k = Δy / Δx = (-4)-7 / 6-(-5) = -11/-11 = 1
y = x + m
7 = 1 · 5 + m
7-5 = 5-5 + m
m = 2
y = x + 2
x + 2+ (-0,8) = -0,8 + 2,8+ (-0,8)
1,8x + 2-2 = 2,8-2
1,8x / 1,8 = -0,8 / 1,8
x = 0,444444....
Men det kan ju inte vara rätt svar, så jag måste väl omvandla linje A's ekvation till bråk istället?
Så nu blir det
y =
Men det är nu jag inte vet hur jag ska fortsätta? Jag ser att koordinaterna för brytningspunkten ska bli typ (0,5 , 2,5) ungefär i koordinatsystemet. Men jag vet inte hur jag ska få fram de exakta koordinaterna.
Hade någon kunnat hjälpa mig vidare med tips hade det varit guld värt!!!
Hej och välkommen till Pluggakuten!
Du har gjort en del skrivfel på vägen men du har kommit fram till rätt ekvationer för de två linjerna.
Skärningspunkten får du, precis som du skriver, genom att lösa ekvationssystemet som de båda ekvationerna utgör.
Och du gör helt rätt i att omvandla till bråkform
Linje 1: y = -0,8x + 2.8 = -(4/5)x + 14/5
Linje 2: y = x + 2 = (5/5)x + 10/5
Om du kombinerar dessa ekvationer så får du ekvationen
-(4/5)x + 14/5 = (5/5)x + 10/5
Nu kommer du vidare, eller hur?
x=0,444 är rätt svar. Du måste såklart räkna ut y också.
För att räkna med exakta värden gör du på samma sätt som du gjort för att få fram x=0,4444... men räkna med bråken istället.
Edit: Jag ser att du tappat bort x i din uppställning.
Tack för svar!
Var har jag gjort skrivfel? Känner att det är viktigt att allt blir rätt så jag inte fortsätter med samma fel i framtiden.
Ska jag alltså skriva parentes vid de första bråken i ekvationerna?
Var menar du att jag tappat bort x?
joculator skrev:x=0,444 är rätt svar. Du måste såklart räkna ut y också.
För att räkna med exakta värden gör du på samma sätt som du gjort för att få fram x=0,4444... men räkna med bråken istället.
Edit: Jag ser att du tappat bort x i din uppställning.
Tack för svar! Var menar du att jag tappat bort x?
Yngve skrev:aeco skrev:Hej!
Jag läser matematik 2b och sitter med en uppgift, varav frågan lyder:
''Punkterna (−4, 6) , (5, 7) , (6, −2) och (−6, −4) utgör hörnen i en fyrhörning. Bestäm koordinaterna för den punkt där fyrhörningens diagonaler skär varandra. Svara exakt.''
Jag förstår frågan, och jag har kommit långt på vägen. Problemet är att jag inte förstår hur jag ska göra nu i slutet för att få fram det slutgiltiga svaret. Såhär långt har jag kommit:
Jag har ritat ett koordinatsystem där jag märkt ut punkterna i frågan och dragit diagonala linjer emellan så jag har fått två grafer. Jag har räknat ut k- och m-värde:
LINJE A
(-4,6) och (6,-2)
k = Δy / Δx = (-2)-6 / 6-(-4) = -8/10 = -0,8
y = -0,8x + m
-2 = -0,8x + m
-2 = -0,8x · 6 + m
-2 = -4,8x + m
-2+4,8 = -4,8x+4,8 + m
m = 2,8
y = -0,8x + 2,8
LINJE B
(5,7) och (-6,-4)
k = Δy / Δx = (-4)-7 / 6-(-5) = -11/-11 = 1
y = x + m
7 = 1 · 5 + m
7-5 = 5-5 + m
m = 2
y = x + 2
x + 2+ (-0,8) = -0,8 + 2,8+ (-0,8)
1,8x + 2-2 = 2,8-2
1,8x / 1,8 = -0,8 / 1,8
x = 0,444444....
Men det kan ju inte vara rätt svar, så jag måste väl omvandla linje A's ekvation till bråk istället?
Så nu blir det
y =
Men det är nu jag inte vet hur jag ska fortsätta? Jag ser att koordinaterna för brytningspunkten ska bli typ (0,5 , 2,5) ungefär i koordinatsystemet. Men jag vet inte hur jag ska få fram de exakta koordinaterna.
Hade någon kunnat hjälpa mig vidare med tips hade det varit guld värt!!!
Hej och välkommen till Pluggakuten!
Du har gjort en del skrivfel på vägen men du har kommit fram till rätt ekvationer för de två linjerna.
Skärningspunkten får du, precis som du skriver, genom att lösa ekvationssystemet som de båda ekvationerna utgör.
Och du gör helt rätt i att omvandla till bråkform
Linje 1: y = -0,8x + 2.8 = -(4/5)x + 14/5
Linje 2: y = x + 2 = (5/5)x + 10/5
Om du kombinerar dessa ekvationer så får du ekvationen
-(4/5)x + 14/5 = (5/5)x + 10/5
Nu kommer du vidare, eller hur?
Tack för svar!
Var har jag gjort skrivfel? Känner att det är viktigt att allt blir rätt så jag inte fortsätter med samma fel i framtiden. Ska jag alltså skriva parentes vid de första bråken i ekvationerna?
aeco skrev:Yngve skrev:aeco skrev:[...]
LINJE A
(-4,6) och (6,-2)
k = Δy / Δx = (-2)-6 / 6-(-4) = -8/10 = -0,8
y = -0,8x + m
-2 = -0,8x + m
-2 = -0,8x · 6 + m
-2 = -4,8x + m
-2+4,8 = -4,8x+4,8 + m
m = 2,8
y = -0,8x + 2,8
LINJE B
(5,7) och (-6,-4)
k = Δy / Δx = (-4)-7 / 6-(-5) = -11/-11 = 1
y = x + m
7 = 1 · 5 + m
7-5 = 5-5 + m
m = 2
y = x + 2
x + 2+ (-0,8) = -0,8 + 2,8+ (-0,8)
1,8x + 2-2 = 2,8-2
1,8x / 1,8 = -0,8 / 1,8
x = 0,444444....
Men det kan ju inte vara rätt svar, så jag måste väl omvandla linje A's ekvation till bråk istället?
Så nu blir det
y =
[...]
Hej och välkommen till Pluggakuten!
Du har gjort en del skrivfel på vägen men du har kommit fram till rätt ekvationer för de två linjerna.
[...]
Tack för svar!
Var har jag gjort skrivfel? Känner att det är viktigt att allt blir rätt så jag inte fortsätter med samma fel i framtiden. Ska jag alltså skriva parentes vid de första bråken i ekvationerna?
Här är dina skrivfel.
Linje A
Rad 2: Du har glömt parenteser runt täljare och nämnare. Det borde stå
k = Δy / Δx = ((-2)-6) / (6-(-4)) = -8/10 = -0,8
Rad 4 & 5: Du ersatt y med -2 men glömt att ersätta x med 6. Det borde stå:
-2 = -0,8*6 + m
-2 = -4.8 + m
Rad 6: Du har stoppat in 6 men inte ersatt x. Det borde stå:
-2 = -4,8 + m
Rad 7: Du har fortfarande kvar x och det ser ut som om du har exponenter istället för subtraktion. Det borde stå:
-2+4,8 = -4,8+4,8 + m
Linje B
Rad 2: Du saknar parenteser även här. Du har skrivit fel x-värden. Det borde stå:
k = Δy / Δx = ((-4)-7) / (-6-5) = -11/-11 = 1
Rad 5: Det ser ut som du har exponenter istället för subtraktion. Det borde stå:
7-5 = 5-5 + m
Lösningen av ekvationssystemet.
Rad 1: Du har glömt att skriva ut x. Du subtraherar istället för att addera och det ser ut som du har exponenter. Det borde stå:
x + 2+ 0,8x = -0,8x + 2,8+ 0,8x
Rad 2: Det ser ut som du har exponenter. Det borde stå:
1,8x + 2-2 = 2,8-2
-----
Att du har glömt ett x efter -4/5 vid "Så nu blir det ..." har redan påpekats tidigare. Det borde stå:
aeco, läs igenom reglerna
1.8 Det är inte tillåtet att bumpa sin tråd inom ett dygn efter att du har postat tråden eller sedan det senaste obesvarade inlägget.
Bumpa betyder att en tråd flyttas upp i forumet genom att skriva inlägg i tråden som är tomma eller saknar mening i sammanhanget.
/joculator , moderator
I (-2)-6 så är parenteserna runt -2 inte nödvändiga, men bidrar kanske till tydligheten. I 6-(-4) är parenteserna nödvändiga, kanske inte strikt informationsmässigt, men - - skriver man inte.
Det viktigaste är parenteserna runt täljare och nämnare eftersom ett enkelt snedstreck inte betyder att allt framför ska delas med allt bakom, som det horisontella strecket gör.
joculator skrev:aeco, läs igenom reglerna
1.8 Det är inte tillåtet att bumpa sin tråd inom ett dygn efter att du har postat tråden eller sedan det senaste obesvarade inlägget.
Bumpa betyder att en tråd flyttas upp i forumet genom att skriva inlägg i tråden som är tomma eller saknar mening i sammanhanget./joculator , moderator
Om du menar att jag raderade all text i en av kommentarerna så försökte jag bara ta bort dem, visste inte först hur man svarade så tyckte det var onödigt med två likadana. Förstår dock, tack för info!
Yngve skrev:aeco skrev:Yngve skrev:aeco skrev:[...]
LINJE A
(-4,6) och (6,-2)
k = Δy / Δx = (-2)-6 / 6-(-4) = -8/10 = -0,8
y = -0,8x + m
-2 = -0,8x + m
-2 = -0,8x · 6 + m
-2 = -4,8x + m
-2+4,8 = -4,8x+4,8 + m
m = 2,8
y = -0,8x + 2,8
LINJE B
(5,7) och (-6,-4)
k = Δy / Δx = (-4)-7 / 6-(-5) = -11/-11 = 1
y = x + m
7 = 1 · 5 + m
7-5 = 5-5 + m
m = 2
y = x + 2
x + 2+ (-0,8) = -0,8 + 2,8+ (-0,8)
1,8x + 2-2 = 2,8-2
1,8x / 1,8 = -0,8 / 1,8
x = 0,444444....
Men det kan ju inte vara rätt svar, så jag måste väl omvandla linje A's ekvation till bråk istället?
Så nu blir det
y =
[...]
Hej och välkommen till Pluggakuten!
Du har gjort en del skrivfel på vägen men du har kommit fram till rätt ekvationer för de två linjerna.
[...]
Tack för svar!
Var har jag gjort skrivfel? Känner att det är viktigt att allt blir rätt så jag inte fortsätter med samma fel i framtiden. Ska jag alltså skriva parentes vid de första bråken i ekvationerna?
Här är dina skrivfel.
Linje A
Rad 2: Du har glömt parenteser runt täljare och nämnare. Det borde stå
k = Δy / Δx = ((-2)-6) / (6-(-4)) = -8/10 = -0,8
Rad 4 & 5: Du ersatt y med -2 men glömt att ersätta x med 6. Det borde stå:
-2 = -0,8*6 + m
-2 = -4.8 + m
Rad 6: Du har stoppat in 6 men inte ersatt x. Det borde stå:
-2 = -4,8 + m
Rad 7: Du har fortfarande kvar x och det ser ut som om du har exponenter istället för subtraktion. Det borde stå:
-2+4,8 = -4,8+4,8 + m
Linje B
Rad 2: Du saknar parenteser även här. Du har skrivit fel x-värden. Det borde stå:
k = Δy / Δx = ((-4)-7) / (-6-5) = -11/-11 = 1
Rad 5: Det ser ut som du har exponenter istället för subtraktion. Det borde stå:
7-5 = 5-5 + m
Lösningen av ekvationssystemet.
Rad 1: Du har glömt att skriva ut x. Du subtraherar istället för att addera och det ser ut som du har exponenter. Det borde stå:
x + 2+ 0,8x = -0,8x + 2,8+ 0,8x
Rad 2: Det ser ut som du har exponenter. Det borde stå:
1,8x + 2-2 = 2,8-2
-----
Att du har glömt ett x efter -4/5 vid "Så nu blir det ..." har redan påpekats tidigare. Det borde stå:
Hej igen, tack för svar återigen.
Vad bra att du skrev det om att det ser ut som exponenter istället för subtraktion. Var osäker hur jag skulle skriva där, men nu när du skriver det ser jag ju att det är rätt. Mycket här var slarvfel som jag själv inte sett, bra att du såg och påpekade det.
Laguna skrev:I (-2)-6 så är parenteserna runt -2 inte nödvändiga, men bidrar kanske till tydligheten. I 6-(-4) är parenteserna nödvändiga, kanske inte strikt informationsmässigt, men - - skriver man inte.
Det viktigaste är parenteserna runt täljare och nämnare eftersom ett enkelt snedstreck inte betyder att allt framför ska delas med allt bakom, som det horisontella strecket gör.
Tack för svar. Skriver de för tydlighetens skull. I 6-(-4) vet jag att de är nödvändiga. Jag har skrivit horisontella i mitt egna block där, såg dock nu att jag skrivit med snedstreck här. Behöver jag parenteser om jag har ett horisontellt streck?
aeco skrev:
Hej igen, tack för svar återigen.
Vad bra att du skrev det om att det ser ut som exponenter istället för subtraktion. Var osäker hur jag skulle skriva där, men nu när du skriver det ser jag ju att det är rätt. Mycket här var slarvfel som jag själv inte sett, bra att du såg och påpekade det.
Ja, jag vet att det bara var skrivfel och inte tankefel. Det var därför jag bara nämnde det i förbigående i mitt första svar och istället fokuserade på att hjälpa dig vidare där du körde fast.
Nu har jag kommit så långt att jag omvandlat ekvationerna till bråk istället, både för linje A och linje B.
Linje A
y = -0,8x + 2,8
y =
Linje B
y = x + 2
y =
Hur går jag vidare nu? Skriver jag följande:
... och så ska jag försöka ta ut från båda HL och VL? Multiplicerar jag med då? Hur skriver jag för att det ska bli snyggt? Förlåt för att det är så krångligt, är ganska stressad över att få allt klart och har lite annat som snurrar i huvudet. Tack på förhand!
Yngve skrev:aeco skrev:Hej igen, tack för svar återigen.
Vad bra att du skrev det om att det ser ut som exponenter istället för subtraktion. Var osäker hur jag skulle skriva där, men nu när du skriver det ser jag ju att det är rätt. Mycket här var slarvfel som jag själv inte sett, bra att du såg och påpekade det.
Ja, jag vet att det bara var skrivfel och inte tankefel. Det var därför jag bara nämnde det i förbigående i mitt första svar och istället fokuserade på att hjälpa dig vidare där du körde fast.
Ja, tack för det. Kan du kolla min senaste kommentar här? Förstår inte riktigt hur jag ska fortsätta nu.
aeco skrev:Nu har jag kommit så långt att jag omvandlat ekvationerna till bråk istället, både för linje A och linje B.
Linje A
y = -0,8x + 2,8
y =
Linje B
y = x + 2
y =
Hur går jag vidare nu? Skriver jag följande:... och så ska jag försöka ta ut från båda HL och VL? Multiplicerar jag med då? Hur skriver jag för att det ska bli snyggt? Förlåt för att det är så krångligt, är ganska stressad över att få allt klart och har lite annat som snurrar i huvudet. Tack på förhand!
Ja ekvationen stämmer.
Använd nu balansmetoden för att få x ensamt på ena sidan, dvs
- Addera (4/5)x till båda sidor och förenkla.
- Subtrahera 10/5 från båda sidor och förenkla.
Sedan är du nästan klar, det saknas bara en multiplikation och en division.
Yngve skrev:aeco skrev:Nu har jag kommit så långt att jag omvandlat ekvationerna till bråk istället, både för linje A och linje B.
Linje A
y = -0,8x + 2,8
y =
Linje B
y = x + 2
y =
Hur går jag vidare nu? Skriver jag följande:... och så ska jag försöka ta ut från båda HL och VL? Multiplicerar jag med då? Hur skriver jag för att det ska bli snyggt? Förlåt för att det är så krångligt, är ganska stressad över att få allt klart och har lite annat som snurrar i huvudet. Tack på förhand!
Ja ekvationen stämmer.
Använd nu balansmetoden för att få x ensamt på ena sidan, dvs
- Addera (4/5)x till bpda sidor och förenkla.
- Subtrahera 10/5 från bpda sidor och förenkla.
Sedan är du nästan klar, det saknas bara en multiplikation och en division.
Tack för svar.
Ska jag alltså skriva såhär:
... nu?
Det blir väl:
... om jag inte räknat fel?
Och sedan:
... och det blir väl:
... om jag inte räknat fel d.v.s? Har jag rätt såhär långt?
Är osäker för vet inte hur jag ska förenkla.
aeco skrev:
Tack för svar.
Ska jag alltså skriva såhär:... nu?
[...]
Du adderade -(4/5)x men du skulle addera (4/5)x.
Annars är det rätt.
Yngve skrev:aeco skrev:Tack för svar.
Ska jag alltså skriva såhär:... nu?
[...]
Du adderade -(4/5)x men du skulle addera (4/5)x.
Annars är det rätt.
Tack för svar!
Ah, haha. Vad dumt! Såklart ska jag addera med
Så då blir det istället:
... och eftersom (-4)+4 = 0 (eller?) så finns det nu inget x i VL?
... ska jag dividera med nu?
aeco skrev:
Tack för svar!Ah, haha. Vad dumt! Såklart ska jag addera med
Så då blir det istället:
... och eftersom (-4)+4 = 0 (eller?) så finns det nu inget x i VL?
... ska jag dividera med nu?
Bra nu är det rätt (det var iofs inte fel tidigare, men du hade behövt glra en extra operation flr att komma hit).
Nej det är x du vill få ensamt på ena sidan.
Du vill alltså bli av med nämnaren 5 på högersidan, eller hur?
Kan du komma på något sätt att få det att hända?
Yngve skrev:aeco skrev:Tack för svar!Ah, haha. Vad dumt! Såklart ska jag addera med
Så då blir det istället:
... och eftersom (-4)+4 = 0 (eller?) så finns det nu inget x i VL?
... ska jag dividera med nu?
Bra nu är det rätt (det var iofs inte fel tidigare, men du hade behövt glra en extra operation flr att komma hit).
Nej det är x du vill få ensamt på ena sidan.
Du vill alltså bli av med nämnaren 5 på högersidan, eller hur?
Kan du komma på något sätt att få det att hända?
Multiplicerar jag täljare med täljare och nämnare med nämnare? Och förkortar sedan?
aeco skrev:Yngve skrev:aeco skrev:Tack för svar!Ah, haha. Vad dumt! Såklart ska jag addera med
Så då blir det istället:
... och eftersom (-4)+4 = 0 (eller?) så finns det nu inget x i VL?
... ska jag dividera med nu?
Bra nu är det rätt (det var iofs inte fel tidigare, men du hade behövt glra en extra operation flr att komma hit).
Nej det är x du vill få ensamt på ena sidan.
Du vill alltså bli av med nämnaren 5 på högersidan, eller hur?
Kan du komma på något sätt att få det att hända?
Multiplicerar jag täljare med täljare och nämnare med nämnare? Och förkortar sedan?
Nej men det går ju inte kommer jag på nu, blir ju i sådana fall. Och det går ju inte att förkorta vidare på något sätt. Gud jag känner mig så korkad haha!
aeco skrev:aeco skrev:Yngve skrev:aeco skrev:Tack för svar!Ah, haha. Vad dumt! Såklart ska jag addera med
Så då blir det istället:
... och eftersom (-4)+4 = 0 (eller?) så finns det nu inget x i VL?
... ska jag dividera med nu?
Bra nu är det rätt (det var iofs inte fel tidigare, men du hade behövt glra en extra operation flr att komma hit).
Nej det är x du vill få ensamt på ena sidan.
Du vill alltså bli av med nämnaren 5 på högersidan, eller hur?
Kan du komma på något sätt att få det att hända?
Multiplicerar jag täljare med täljare och nämnare med nämnare? Och förkortar sedan?
Nej men det går ju inte kommer jag på nu, blir ju i sådana fall. Och det går ju inte att förkorta vidare på något sätt. Gud jag känner mig så korkad haha!
Nu kanske!
Men nu vet jag inte hur jag ska fortsätta, dividera VL och HL med 45?
aeco skrev:Nu kanske!
Men nu vet jag inte hur jag ska fortsätta, dividera VL och HL med 45?
Att multiplicera med 5 är rätt.
Kan du visa steg för steg hur du därefter kommer fram till 20 = 45x?
Yngve skrev:aeco skrev:Nu kanske!
Men nu vet jag inte hur jag ska fortsätta, dividera VL och HL med 45?
Att multiplicera med 5 är rätt.
Kan du visa steg för steg hur du därefter kommer fram till 20 = 45x?
Jag tänker
4 · 5 = 20 och 9 · 5 = 36
Jag multiplicerar endast täljarna med 5. Nämnarna tar ut varandra? Eller?
aeco skrev:
Jag tänker4 · 5 = 20 och 9 · 5 = 36
Jag multiplicerar endast täljarna med 5. Nämnarna tar ut varandra? Eller?
Tanken var att du skulle förkorta med 5 på båda sidor, dvs så här:
Multiplicera upp femman i täljaren:
Förkorta med 5:
--------
Det du har kommit fram till är samma sak som det jag just skrev, men det kan vara farligt att bara låta nämnarna "ta ut varandra".
Om du tänker på det sättet så var det ju onödigt att multiplicera båda sidor med 5, eller hur?
--------
Yngve skrev:aeco skrev:Jag tänker4 · 5 = 20 och 9 · 5 = 36
Jag multiplicerar endast täljarna med 5. Nämnarna tar ut varandra? Eller?
Tanken var att du skulle förkorta med 5 på båda sidor, dvs så här:
Multiplicera upp femman i täljaren:
\frac{4\cdot5}{5}=\frac{9\cdot5}{5}x$$</p> <p>Förkorta med 5:</p> <p>$$4=9x$$</p> <p>--------</p> <p>Det du har kommit fram till är samma sak som det jag just skrev, men det kan vara farligt att bara låta nämnarna "ta ut varandra".</p> <p>Om du tänker på det sättet så var det ju onödigt att multiplicera båda sidor med 5, eller hur?</p> <p>--------</p> </blockquote> <p>Tack för svar,</p> <p>I mitt förra svar skulle det givetvis stå 9 · 5 = 45 </p> <p>Jag ser dock din text väldigt konstig? Förstår inte riktigt. Är bara massor med symboler överallt.</p> <p> </p> <p>Tanken var att du skulle förkorta med 5 på båda sidor, dvs så här:</p> <p>$$45·5=95x·5\frac{4}{5}\cdot5=\frac{9}{5}x\cdot5$$</p> <p>Multiplicera upp femman i täljaren:</p> <p>\frac{4\cdot5}{5}=\frac{9\cdot5}{5}x$$
Förkorta med 5:
Kan du testa skriva om?
aeco skrev:Yngve skrev:aeco skrev:Jag tänker4 · 5 = 20 och 9 · 5 = 36
Jag multiplicerar endast täljarna med 5. Nämnarna tar ut varandra? Eller?
Tanken var att du skulle förkorta med 5 på båda sidor, dvs så här:
Multiplicera upp femman i täljaren:
\frac{4\cdot5}{5}=\frac{9\cdot5}{5}x$$</p> <p>Förkorta med 5:</p> <p>$$4=9x$$</p> <p>--------</p> <p>Det du har kommit fram till är samma sak som det jag just skrev, men det kan vara farligt att bara låta nämnarna "ta ut varandra".</p> <p>Om du tänker på det sättet så var det ju onödigt att multiplicera båda sidor med 5, eller hur?</p> <p>--------</p> </blockquote> <p>Tack för svar,</p> <p>I mitt förra svar skulle det givetvis stå 9 · 5 = 45 </p> <p>Jag ser dock din text väldigt konstig? Förstår inte riktigt. Är bara massor med symboler överallt.</p> <p> </p> <p>Tanken var att du skulle förkorta med 5 på båda sidor, dvs så här:</p> <p>$$45·5=95x·5\frac{4}{5}\cdot5=\frac{9}{5}x\cdot5$$</p> <p>Multiplicera upp femman i täljaren:</p> <p>\frac{4\cdot5}{5}=\frac{9\cdot5}{5}x$$
Förkorta med 5:
Kan du testa skriva om?
Nu blev allt helkonstigt, vet inte om du förstod. Kan du testa skriva om? Ser nämligen inget p.g.a alla symboler som kommer med i texten överallt.
OK nu har jag redigerat. Läs mitt svar igen.
Yngve skrev:OK nu har jag redigerat. Läs mitt svar igen.
Tack för svar! Nu har jag förstått och gjort på det sätt du skrivit. Men jag vill ju få ut koordinaterna för punkten? Förstår inte hur jag gör det.
Yngve skrev:OK nu har jag redigerat. Läs mitt svar igen.
Hej igen,
Jag hade behövt hjälp med hur jag får ut själva koordinaterna. Nu har jag 4 = 9x, men jag vet inte riktigt hur jag får ut koordinaterna för brytningspunkten? Är 4 = y? För då ska jag väl räkna in det med resten jag har fått fram, d.v.s
och
Ska jag sätta in 4 istället för y?
aeco skrev:Yngve skrev:OK nu har jag redigerat. Läs mitt svar igen.
Hej igen,
Jag hade behövt hjälp med hur jag får ut själva koordinaterna. Nu har jag 4 = 9x, men jag vet inte riktigt hur jag får ut koordinaterna för brytningspunkten? Är 4 = y? För då ska jag väl räkna in det med resten jag har fått fram, d.v.s
och
Ska jag sätta in 4 istället för y?
Du har räknat ut x (nästan framme i alla fall). Sätt in x så får du y.
Laguna skrev:aeco skrev:Yngve skrev:OK nu har jag redigerat. Läs mitt svar igen.
Hej igen,
Jag hade behövt hjälp med hur jag får ut själva koordinaterna. Nu har jag 4 = 9x, men jag vet inte riktigt hur jag får ut koordinaterna för brytningspunkten? Är 4 = y? För då ska jag väl räkna in det med resten jag har fått fram, d.v.s
och
Ska jag sätta in 4 istället för y?
Du har räknat ut x (nästan framme i alla fall). Sätt in x så får du y.
Tack för svar!
Vilket av dem är x? Jag ska väl försöka få x ensamt på ena sidan av = eller? Hur gör jag för att ta reda på x?
Hur gör jag för att ta reda på x?
Du har skrivit att 4=9x. Vad är x? Sätt in det värdet i formeln y = x+2 för att beräkna y. (Det går precis lika bra att sätta in ditt x-värde i formeln y = -0,8x+2,8 men det är betydligt krångligare beräkningar, och varför anstränga sig i onödan?)
Smaragdalena skrev:Hur gör jag för att ta reda på x?
Du har skrivit att 4=9x. Vad är x? Sätt in det värdet i formeln y = x+2 för att beräkna y. (Det går precis lika bra att sätta in ditt x-värde i formeln y = -0,8x+2,8 men det är betydligt krångligare beräkningar, och varför anstränga sig i onödan?)
Tack för svar!
Då måste jag ju dividera bägge sidorna med 9 för att få x ensamt på höger sida, alltså:
... men då har jag ju ändå kommit fram till 0,4 som tidigare vilket inte stämde? Förstår inte vad jag har gjort rätt och vad jag har gjort fel eftersom jag har räknat med bråk som jag skulle men fortfarande kommer fram till samma svar, som inte ens ska vara rätt?
aeco skrev:
Tack för svar!
Då måste jag ju dividera bägge sidorna med 9 för att få x ensamt på höger sida, alltså:
... men då har jag ju ändå kommit fram till 0,4 som tidigare vilket inte stämde? Förstår inte vad jag har gjort rätt och vad jag har gjort fel eftersom jag har räknat med bråk som jag skulle men fortfarande kommer fram till samma svar, som inte ens ska vara rätt?
4/9 är inte lika med 0,4.
Avrunda inte.
x = 4/9 är rätt.
Yngve skrev:aeco skrev:Tack för svar!
Då måste jag ju dividera bägge sidorna med 9 för att få x ensamt på höger sida, alltså:
... men då har jag ju ändå kommit fram till 0,4 som tidigare vilket inte stämde? Förstår inte vad jag har gjort rätt och vad jag har gjort fel eftersom jag har räknat med bråk som jag skulle men fortfarande kommer fram till samma svar, som inte ens ska vara rätt?
4/9 är inte lika med 0,4.
Avrunda inte.
x = 4/9 är rätt.
Tack för svar.
0,4444444 står det på min miniräknare? Vad är det jag gör galet?
aeco skrev:
Tack för svar.0,4444444 står det på min miniräknare? Vad är det jag gör galet?
Det enda du gör galet är att du omvandlar bråket 4/9 till ett decimaltal. Gör inte det.
Fortsätt att räkna med x = 4/9.
Yngve skrev:aeco skrev:Tack för svar.0,4444444 står det på min miniräknare? Vad är det jag gör galet?
Det enda du gör galet är att du omvandlar bråket 4/9 till ett decimaltal. Gör inte det.
Fortsätt att räkna med x = 4/9.


Yngve skrev:aeco skrev:Tack för svar.0,4444444 står det på min miniräknare? Vad är det jag gör galet?
Det enda du gör galet är att du omvandlar bråket 4/9 till ett decimaltal. Gör inte det.
Fortsätt att räkna med x = 4/9.
Jaha då förstår jag!
Såhär ser min uträkning ut hittills. Kan du hjälpa mig med hur ska jag skriva från och med nu? Blir det 4 = 9x direkt? Och sedan eller?
aeco skrev:
Jaha då förstår jag!Såhär ser min uträkning ut hittills. Kan du hjälpa mig med hur ska jag skriva från och med nu? Blir det 4 = 9x direkt? Och sedan eller?
Ja.
Skärningspunktens x-koordinat är alltså x = 4/9. Eftersom skärningspunkten ligger på linjen y = x + 2, så uppfyller punktens koordinater sambandet y = x + 2.
Du känner till x-värdet och kan nu därför räkna fram y-värdet.
Yngve skrev:aeco skrev:Jaha då förstår jag!Såhär ser min uträkning ut hittills. Kan du hjälpa mig med hur ska jag skriva från och med nu? Blir det 4 = 9x direkt? Och sedan eller?
Ja.
Skärningspunktens x-koordinat är alltså x = 4/9. Eftersom skärningspunkten ligger på linjen y = x + 2, så uppfyller punktens koordinater sambandet y = x + 2.
Du känner till x-värdet och kan nu därför räkna fram y-värdet.
Aha, ja då förstår jag!
Så nu räknar jag
... eller?
Blir det x efter ?
aeco skrev:
Aha, ja då förstår jag!Så nu räknar jag
... eller?
Blir det x efter ?
Nej, eftersom du vet att x = 4/9 så ersätter du x med 4/9 i sambandet. Dvs du byter ut x mot 4/9.
y = 4/9 + 2 är rätt.
Förenkla nu det uttrycket. Svara exakt.
Yngve skrev:aeco skrev:Aha, ja då förstår jag!Så nu räknar jag
... eller?
Blir det x efter ?
Nej, eftersom du vet att x = 4/9 så ersätter du x med 4/9 i sambandet. Dvs du byter ut x mot 4/9.
y = 4/9 + 2 är rätt.
Förenkla nu det uttrycket. Svara exakt.
Det måste ju bli alltså
Ska jag svara i decimalform eller i bråkform?
aeco skrev:
AhaDet måste ju bli alltså
Ska jag svara i decimalform eller i bråkform?
Om du kan svara i decimalform utan att avrunda så är det OK. Kan du det?
Yngve skrev:aeco skrev:AhaDet måste ju bli alltså
Ska jag svara i decimalform eller i bråkform?
Om du kan svara i decimalform utan att avrunda så är det OK. Kan du det?
Tack för svar! Nej det kan jag inte, tror jag inte i alla fall. Har försökt räkna och kolla men jag får inte fram något vettigt.
aeco skrev:
Tack för svar! Nej det kan jag inte, tror jag inte i alla fall. Har försökt räkna och kolla men jag får inte fram något vettigt.
Det stämmer
Rätt svar här är (4/9; 22/9)
aeco skrev:Yngve skrev:aeco skrev:AhaDet måste ju bli alltså
Ska jag svara i decimalform eller i bråkform?
Om du kan svara i decimalform utan att avrunda så är det OK. Kan du det?
Tack för svar! Nej det kan jag inte, tror jag inte i alla fall. Har försökt räkna och kolla men jag får inte fram något vettigt.
Nu har jag kommit fram till att det inte går att svara i decimalform eftersom man måste avrunda isf, då svaret blir 2,444.....
Alltså måste y =
Vet jag allt jag behöver för att kunna skriva ett svar nu? Vet jag koordinaterna för brytningspunkten? Är det och ?
Yngve skrev:aeco skrev:Tack för svar! Nej det kan jag inte, tror jag inte i alla fall. Har försökt räkna och kolla men jag får inte fram något vettigt.Det stämmer
Rätt svar här är (4/9; 22/9)
Aha okej så jag ska alltså inte skriva i blandad form. Då har jag alltså löst uppgiften nu? Svaret är att koordinaterna för brytningspunkten är
aeco skrev:
Aha okej så jag ska alltså inte skriva i blandad form. Då har jag alltså löst uppgiften nu? Svaret är att koordinaterna för brytningspunkten är
Ja nu är du klar. Bra att du är envis. Det lönar sig i längden.
Yngve skrev:aeco skrev:Aha okej så jag ska alltså inte skriva i blandad form. Då har jag alltså löst uppgiften nu? Svaret är att koordinaterna för brytningspunkten ärJa nu är du klar. Bra att du är envis. Det lönar sig i längden.
Tack så himla himla mycket för hjälpen! Nu förstod jag tillslut till och med vad jag gjorde. Du har räddat min dag :-)