3
svar
215
visningar
aeco behöver inte mer hjälp
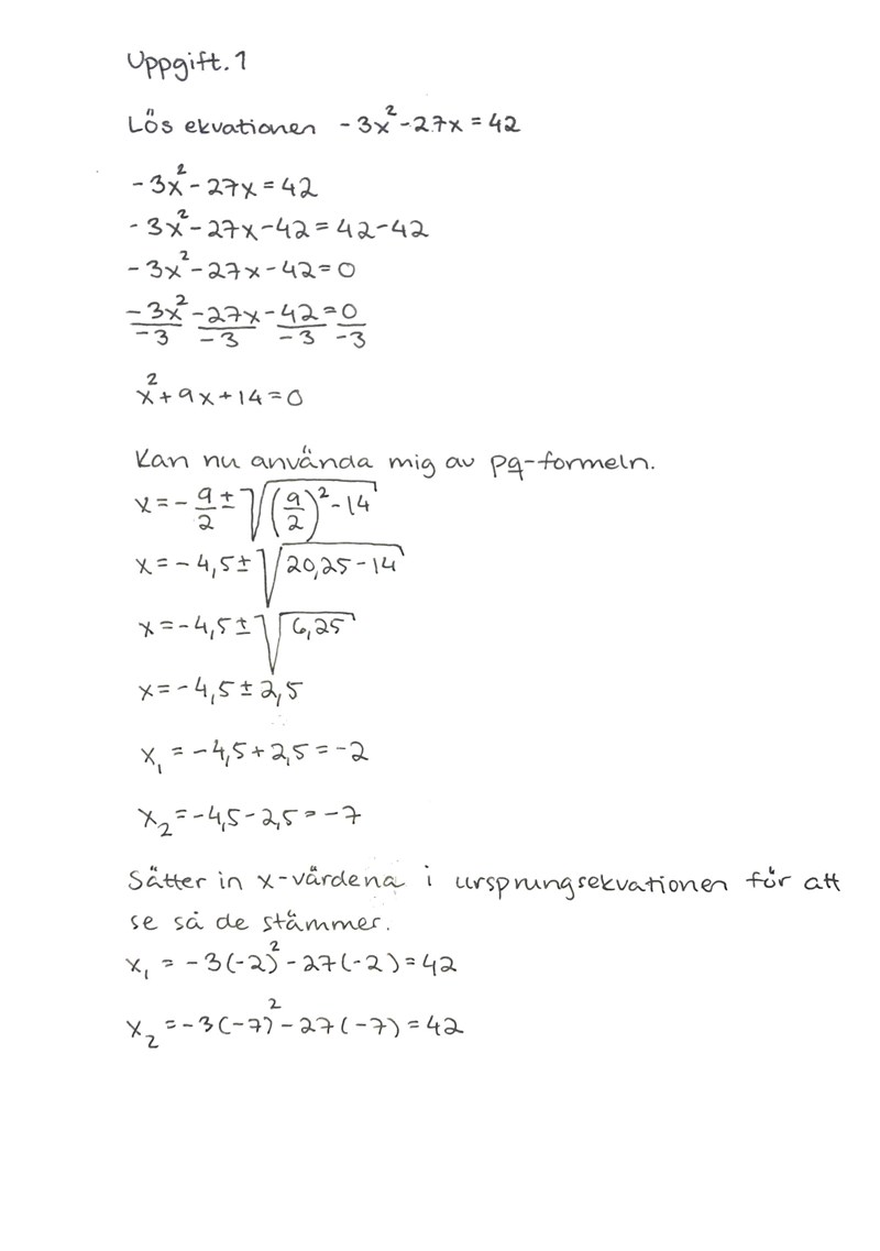
Hjälp med att förstå en uppgift - 1
Hej!
Jag har försökt att räkna den här men jag tror inte det blir rätt? Hade någon kunna kolla om jag har gjort något galet.
Tack på förhand!

Nejnej, det är rätt och fint redovisat dessutom!
Välkommen till pluggakuten!
Rätt räknat, bara fel subforum. Borde vara "Andragradsekvationer".
Qetsiyah skrev:Nejnej, det är rätt och fint redovisat dessutom!
Välkommen till pluggakuten!
Tack för hjälpen!