Hjälp med att förstå en uppgift
Hej!
Jag läser matematik 2b och sitter med en uppgift, varav frågan lyder:
''För vilka värden på p saknar ekvationen nedan reella lösningar?
px2+4x+6=0''
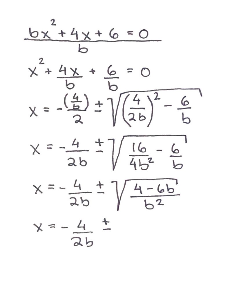
Då har jag räknat såhär:

Har jag gjort något fel? Om inte, hur fortsätter jag nu?
Tack på förhand!
Vart tog konstanten p i nämnaren vägen när du satte in i pq-formeln? "Ditt" p är inte samma som p i pq-formeln - opraktiskt att de använde just den bokstaven! Om vi börjar med ekvationen bx2+4x+6 = 0 istället, så får vi att p = 4/b och q = 6/b istället. Sätt in de värdena i pq-formeln och undersök när det blir negativt under rot-tecknet.
Hej!
Du har tappat bort din p-variabel när du matat in det i pq-formeln. Här blir det förvirrande att variabeln heter p, så jag skulle döpa om den, exempelvis till b.
Då blir det
För inmatning i pq-formeln blir alltså , och
Ett annat alternativ är att lösa uppgiften grafiskt, testa gärna det också!
Edit: Smaragdalena hann visst före, ändrade mitt förslag på variabelnamn till b för att vara konsekvent.
viktorzenk skrev:Hej!
Du har tappat bort din p-variabel när du matat in det i pq-formeln. Här blir det förvirrande att variabeln heter p, så jag skulle döpa om den, exempelvis till b.
Då blir det
För inmatning i pq-formeln blir alltså , och
Ett annat alternativ är att lösa uppgiften grafiskt, testa gärna det också!
Edit: Smaragdalena hann visst före, ändrade mitt förslag på variabelnamn till b för att vara konsekvent.
Aha! Ja det var ju ganska osmidigt att de hade valt p där, men då förstår jag. Min pluggkompis har gått hem för idag så vi får sätta oss med detta imorgon då! Tack för hjälpen, återkommer om jag behöver mer hjälp.
aeco skrev:viktorzenk skrev:Hej!
Du har tappat bort din p-variabel när du matat in det i pq-formeln. Här blir det förvirrande att variabeln heter p, så jag skulle döpa om den, exempelvis till b.
Då blir det
För inmatning i pq-formeln blir alltså , och
Ett annat alternativ är att lösa uppgiften grafiskt, testa gärna det också!
Edit: Smaragdalena hann visst före, ändrade mitt förslag på variabelnamn till b för att vara konsekvent.
Aha! Ja det var ju ganska osmidigt att de hade valt p där, men då förstår jag. Min pluggkompis har gått hem för idag så vi får sätta oss med detta imorgon då! Tack för hjälpen, återkommer om jag behöver mer hjälp.
Blir det rätt nu?
aeco skrev:aeco skrev:viktorzenk skrev:Hej!
Du har tappat bort din p-variabel när du matat in det i pq-formeln. Här blir det förvirrande att variabeln heter p, så jag skulle döpa om den, exempelvis till b.
Då blir det
För inmatning i pq-formeln blir alltså , och
Ett annat alternativ är att lösa uppgiften grafiskt, testa gärna det också!
Edit: Smaragdalena hann visst före, ändrade mitt förslag på variabelnamn till b för att vara konsekvent.
Aha! Ja det var ju ganska osmidigt att de hade valt p där, men då förstår jag. Min pluggkompis har gått hem för idag så vi får sätta oss med detta imorgon då! Tack för hjälpen, återkommer om jag behöver mer hjälp.
Blir det rätt nu?
Nä inte riktigt. De ändå du måste tänka på är att det blir alltså blir det
nu ska man ta reda på för vilka värden på b som är mindre än noll(eftersom det är rooten ur)
Nej men nu ser jag ju att jag gjort galet! Kolla på den uträkningen nedan istället
Blir det rätt nu?
Det blir fel när du förenklar inuti roten. Gör om 6/2 till 12/4 så blir det enklare.
Smaragdalena skrev:Det blir fel när du förenklar inuti roten. Gör om 6/2 till 12/4 så blir det enklare.
Aha okej, så då blir det roten ur 4 och 12 istället för 8 och 12? Roten ur 4 är 2 och roten ur 12 är 3,46. Ska jag avrunda något? Blir det 2/3 iaf?
Ska jag skriva med b i pq-formeln som KallasKull skrev? För än så länge vet jag ju inte vad b-värdet är?
Kalaskul har rätt, b skall vara med i pq-formeln. Jag misade det.
Om ditt uttryck under rot-tecknet hade varit riktigt, skulle du ha fått men så var det ju inte.
aeco skrev:Smaragdalena skrev:Det blir fel när du förenklar inuti roten. Gör om 6/2 till 12/4 så blir det enklare.
Aha okej, så då blir det roten ur 4 och 12 istället för 8 och 12? Roten ur 4 är 2 och roten ur 12 är 3,46. Ska jag avrunda något? Blir det 2/3 iaf?
Ska jag skriva med b i pq-formeln som KallasKull skrev? För än så länge vet jag ju inte vad b-värdet är?
Det under rot tecknet kommer blir nu är det bara att beräkna för vilka värden detta kommer vara negativ. kommer alltid vara positivt alltså kommer uttrycket vara negativt då är negativt.
Kallaskull skrev:aeco skrev:Smaragdalena skrev:Det blir fel när du förenklar inuti roten. Gör om 6/2 till 12/4 så blir det enklare.
Aha okej, så då blir det roten ur 4 och 12 istället för 8 och 12? Roten ur 4 är 2 och roten ur 12 är 3,46. Ska jag avrunda något? Blir det 2/3 iaf?
Ska jag skriva med b i pq-formeln som KallasKull skrev? För än så länge vet jag ju inte vad b-värdet är?
Det under rot tecknet kommer blir nu är det bara att beräkna för vilka värden detta kommer vara negativ. kommer alltid vara positivt alltså kommer uttrycket vara negativt då är negativt.
Okej nu har jag kommit fram till -2b/b^2, är det rätt? Är alltså b=-2?
aeco skrev:Kallaskull skrev:...Det under rot tecknet kommer blir nu är det bara att beräkna för vilka värden detta kommer vara negativ. kommer alltid vara positivt alltså kommer uttrycket vara negativt då är negativt.
Okej nu har jag kommit fram till -2b/b^2, är det rätt? Är alltså b=-2?
Nej. Lös olikheten 4-6b < 0.
Smaragdalena skrev:aeco skrev:Kallaskull skrev:...Det under rot tecknet kommer blir nu är det bara att beräkna för vilka värden detta kommer vara negativ. kommer alltid vara positivt alltså kommer uttrycket vara negativt då är negativt.
Okej nu har jag kommit fram till -2b/b^2, är det rätt? Är alltså b=-2?
Nej. Lös olikheten 4-6b < 0.
Jag förstår inte vad det är som blir fel. I andra forum med exakt samma fråga har dom fått fram att p (i vårt fall nu b eftersom vi ändrade den) är 2/3. Det kom jag ju fram till tidigare, men nu förstår jag inte hur jag ska komma fram till det från 4-6b. Det är ju mindre än 0, det ser jag ju. Men -2 och 2/3 är ju inte samma sak? För jag får -2b när jag löser den. Hur löser jag den olikheten annars? Känner mig så korkad
aeco skrev:Smaragdalena skrev:aeco skrev:Kallaskull skrev:...Det under rot tecknet kommer blir nu är det bara att beräkna för vilka värden detta kommer vara negativ. kommer alltid vara positivt alltså kommer uttrycket vara negativt då är negativt.
Okej nu har jag kommit fram till -2b/b^2, är det rätt? Är alltså b=-2?
Nej. Lös olikheten 4-6b < 0.
Jag förstår inte vad det är som blir fel. I andra forum med exakt samma fråga har dom fått fram att p (i vårt fall nu b eftersom vi ändrade den) är 2/3. Det kom jag ju fram till tidigare, men nu förstår jag inte hur jag ska komma fram till det från 4-6b. Det är ju mindre än 0, det ser jag ju. Men -2 och 2/3 är ju inte samma sak? För jag får -2b när jag löser den. Hur löser jag den olikheten annars? Känner mig så korkad
Är det här rätt uträkning såhär långt? Är det fel någonstans på vägen?
Det ser rätt ut så långt! Nästa steg blir alltså att hitta vilka värden b kan ha så att det blir positivt under rottecknet.
Orelaterat: Stort fan av dina uträkningsbilder! Mycket tydligt och utförligt :)
viktorzenk skrev:Det ser rätt ut så långt! Nästa steg blir alltså att hitta vilka värden b kan ha så att det blir positivt under rottecknet.
Orelaterat: Stort fan av dina uträkningsbilder! Mycket tydligt och utförligt :)
Okej, så om jag förstår din fråga rätt så skulle det kunna vara -2? Alltså 4-6(-2)/(-2)^2=16/4=4 alltså ett positivt tal under rottecknet. Nu då?
Tack förresten! Använder mig av Whitelines, med tillhörande app. Väldigt smidigt :)
Oj, var visst åt andra hållet, frågan är för vilka värden ekvationen saknar reella lösningar, alltså när det blir negativt under roten. Alltså olikheten
Som Kallaskull skrev ovan kommer alltid vara positiv, alltså kan vi förenkla olikheten till
Om man löser olikheten hittar man alla värden på b (eller p som det var från början), för vilka ekvationen saknar reella lösningar :)
viktorzenk skrev:Oj, var visst åt andra hållet, frågan är för vilka värden ekvationen saknar reella lösningar, alltså när det blir negativt under roten. Alltså olikheten
Som Kallaskull skrev ovan kommer alltid vara positiv, alltså kan vi förenkla olikheten till
Om man löser olikheten hittar man alla värden på b (eller p som det var från början), för vilka ekvationen saknar reella lösningar :)
Okej, nu har jag testat med att sätta in massa positiva tal som b, och varje gång blir det negativt. Är det alltså så att så länge b är positivt blir det negativt under roten? Eller?
Är det alltså så att så länge b är positivt blir det negativt under roten?
Nej, inte nödvändigtvis, till exempel vid b = 0,5.
Försök lösa olikheten ovan, så ska det nog bli tydligt!
viktorzenk skrev:Är det alltså så att så länge b är positivt blir det negativt under roten?
Nej, inte nödvändigtvis, till exempel vid b = 0,5.
Försök lösa olikheten ovan, så ska det nog bli tydligt!
Okej, ser att det blir positivt. Hur räknar jag ut olikheten? Vet inte hur jag gör det. Bör nog öva lite mer på det efter det här. Behöver lite hjälp vidare nu bara
viktorzenk skrev:Är det alltså så att så länge b är positivt blir det negativt under roten?
Nej, inte nödvändigtvis, till exempel vid b = 0,5.
Försök lösa olikheten ovan, så ska det nog bli tydligt!
Jag tror jag har löst det!!!!!
4-6b<0
4-6b-4<0-4
6b<-4
6b/6<-4/6
b<-0,6
Men det är ju negativt? Blir det här rätt?
Du har tappat bort ett minustecken framför 6b mellan rad 2 och 3 - det gör att du får ett teckenfel. Dessutom har du avrundat alldeles för brutalt på slutet.
Smaragdalena skrev:Du har tappat bort ett minustecken framför 6b mellan rad 2 och 3 - det gör att du får ett teckenfel. Dessutom har du avrundat alldeles för brutalt på slutet.
Såg det precis. Det ska alltså vara
4-6b < 0
4-6b-4 < 0-4
-6b < -4
-6b/-6 < -4/-6
b < 0,67
Ska jag avrunda mindre?
aeco skrev:Smaragdalena skrev:Du har tappat bort ett minustecken framför 6b mellan rad 2 och 3 - det gör att du får ett teckenfel. Dessutom har du avrundat alldeles för brutalt på slutet.
Såg det precis. Det ska alltså vara
4-6b < 0
4-6b-4 < 0-4
-6b < -4
-6b/-6 < -4/-6
b < 0,67
Ska jag avrunda mindre?
Så ser hela min uträkning ut nu. Ser den bra ut? Vad skriver jag nu isf?
Nu ser uträkningen bra ut! Du kan gå direkt från till så ser det lite bättre ut.
Vad skriver jag nu isf?
Ja, det är ibland det knepigaste ;)
Läs frågan igen, och kolla igenom vad du har räknat ut, och försök sedan formulera ett svar.