Hjälp med att förstå en uppgift
Hej!
Jag läser matematik 2b och sitter med en uppgift, varav frågan lyder:
''Funktionen y = 5 + ax + bx2, där a och b är konstanter, är given''
a) för vilket värde på b är funktionens graf en rät linje?
Här har jag kommit fram till att b-värdet måste vara 0 om det ska vara en rät linje, för det vet man ju sedan tidigare delar i kursen. Jag har resonerat mig fram till det och tagit upp räta linjens ekvation m.m. Det stämmer väl?
Men det är fråga b som jag behöver hjälp med:
b) För vilka värden på b har funktionen ett nollställe? (ditt svar kan givetvis innehålla konstanten a)
Den här förstår jag inte? Hur går jag vidare härifrån?
Har ni gått igenom pq-formeln än?
https://www.matteboken.se/lektioner/matte-2/andragradsekvationer/pq-formeln
a) Det stämmer!
b) Har du arbetat med PQ-formeln tidigare? :)
Laguna skrev:Har ni gått igenom pq-formeln än?
https://www.matteboken.se/lektioner/matte-2/andragradsekvationer/pq-formeln
Ja det har jag. Handlar detta om värdet under rottecknet? Det är ordet nollställe och att det ska vara ett nollställe som jag inte förstår.
pepparkvarn skrev:a) Det stämmer!
b) Har du arbetat med PQ-formeln tidigare? :)
Ja det har jag. Handlar detta om värdet under rottecknet? Det är ordet nollställe och att det ska vara ett nollställe som jag inte förstår.
En andagradsfunktion kan ha 2, 1 eller 0 nollställen.
Här vill man alltså veta vilket värde b ska ha för att bara få ett nollställe.
och, Ja det har med värdet under rottecknet att göra
Ture skrev:En andagradsfunktion kan ha 2, 1 eller 0 nollställen.
Här vill man alltså veta vilket värde b ska ha för att bara få ett nollställe.
och, Ja det har med värdet under rottecknet att göra
Är det här att diskriminanten ska vara 0? Att den saknar reella lösningar?
Jo diskriminanten ska vara 0, då har vi bara ett nollställe.
om diskriminanten är negativ har vi komplexa löaningar och om diskr är större än noll har vi två olika lösningar.
Ture skrev:Jo diskriminanten ska vara 0, då har vi bara ett nollställe.
om diskriminanten är negativ har vi komplexa löaningar och om diskr är större än noll har vi två olika lösningar.
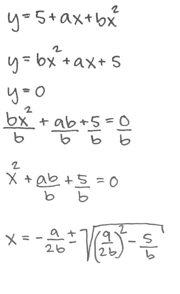
Aha okej, har börjat försöka räkna ut. Har jag gjort rätt så här långt? Och hur gör jag isf nu?

Visa spoiler
Skriv ditt dolda innehåll här
aeco skrev:
Ture skrev:Jo diskriminanten ska vara 0, då har vi bara ett nollställe.
om diskriminanten är negativ har vi komplexa löaningar och om diskr är större än noll har vi två olika lösningar.
Aha okej, har börjat försöka räkna ut. Har jag gjort rätt så här långt? Och hur gör jag isf nu?
Såhär har jag räknat ut? Är det rätt?
Det verkar rätt, när du betonar "ett". Jag skulle läsa uppgiften något annorlunda, nämligen att den har ett nollställe, och då kan den ha två också. Men det är bra att du visar hur du har tolkat den.
Jag tycker det är väldigt tydligt att man skall ta reda på för vilka värden på b som ekvationen har en dubbelrot. Varför skulle man annars fråga efter ETT nollställe?
Smaragdalena skrev:Jag tycker det är väldigt tydligt att man skall ta reda på för vilka värden på b som ekvationen har en dubbelrot. Varför skulle man annars fråga efter ETT nollställe?
Förstår inte riktigt, har jag tolkat frågan fel eller svarade du åt Laguna? Har jag gjort rätt på uppgiften eller bör jag tänka om?
Smaragdalena skrev:Jag tycker det är väldigt tydligt att man skall ta reda på för vilka värden på b som ekvationen har en dubbelrot. Varför skulle man annars fråga efter ETT nollställe?
Ser nu att det faktiskt är ett är understruket i frågan min lärare skrivit, så då antar jag att jag tolkat frågan rätt?
aeco skrev:Smaragdalena skrev:Jag tycker det är väldigt tydligt att man skall ta reda på för vilka värden på b som ekvationen har en dubbelrot. Varför skulle man annars fråga efter ETT nollställe?
Ser nu att det faktiskt är ett är understruket i frågan min lärare skrivit, så då antar jag att jag tolkat frågan rätt?
Jag hade verkligen behövt hjälp med frågan idag. Hade någon kunnat kolla så jag räknat rätt?
Laguna skrev att det var rätt, redan igår. Jag skrev att jag tolkade frågan som du gjort, redan igår. Hur mycket bekräftelse behöver du?
Oj varför har ingen svarat?
Om din lärare har strukit under "ETT" så är det nog en dubbelrot hon menar (även om det matematisit formella sättet är att använda ordet "exakt" ett).
Du har tänkt rätt. Diskriminanten (det som är under roten) måste vara noll.
Visa spoiler
Skriv ditt dolda innehåll här
Smaragdalena skrev:
Laguna skrev att det var rätt, redan igår. Jag skrev att jag tolkade frågan som du gjort, redan igår. Hur mycket bekräftelse behöver du?
Jag behöver ingen bekräftelse? Jag skrev efter er och frågade om jag tolkat frågan fel för att jag inte förstod era kommentarer. Tyckte inte alls att det där var en trevlig kommentar, men tack för hjälpen.
Det är inte så svårt heller att räkna ut vad svaret ska bli om vi vill ha två reella lösningar. Då ska diskriminanten vara större än noll bara. Så du byter likamedtecknet mot större än tecknet bara
Qetsiyah skrev:Oj varför har ingen svarat?
Om din lärare har strukit under "ETT" så är det nog en dubbelrot hon menar (även om det matematisit formella sättet är att använda ordet "exakt" ett).
Du har tänkt rätt. Diskriminanten (det som är under roten) måste vara noll.
Så bra, då vet jag att jag kan lämna in idag. Tack för hjälpen!