Hjälp med cosinussatsen
Hej!
Har problem att komma igång med cosinussatsen i uppgiften nedan:
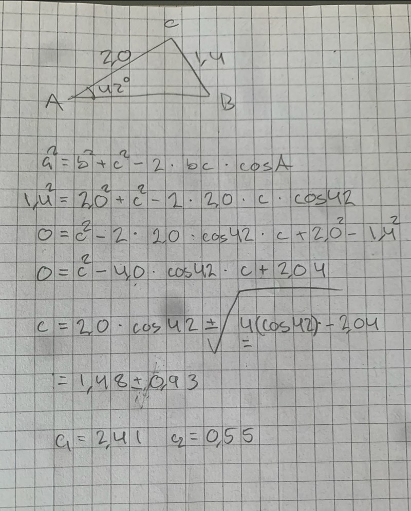
I en triangel ABC är vinkel A = 42 grader, sträckan AC = 2,0 cm och sträckan BC = 1,4 cm.
Bestäm längden av sidan AB.
Har svårt att använda denna information i cosinussatsen och undrar om det är nåt jag behöver göra innan?
Någon som har något tips på hur jag ska tänka?
Rita en figur. Rita alltid en figur.
Jo men det har jag gjort. Men det tar stopp där.
Har provat lägga in informationen i cosinussatsen men det verkar inte ge så mycket. Borde jag dra ett streck från C ned till c, så jag får 2 räta vinklar?
Jo men det har jag gjort. Men det tar stopp där.
Lägg upp bilden här, så att vi kan se om den har blivit rätt.
La in den i orginalinlägget!
Se här: cosinussatsen
I ditt fall är:
a=1,4
b=2,0
c=AB som du vill veta
Testa, visa, fråga om du behöver.
Kan detta va nåt? AB är antingen 2,41cm eller 0,55cm?
Ekvationen är korrekt uppställd men felaktigt löst.
Snabbkoll: 1.4 + 0.55 är mindre än 2.0. Det är omöjligt att göra en triangel med de tre sidorna.
Skulle du kunna ge mig en ledtråd vart det blivit fel? Får inte ihop det
Du har glömt att kvadrera cos(42o).
Provade korrigera lite grejer, c1 = 1,87 och c2= 1,08
Detta bör väl blivit rätt?
2 olika trianglar eller vill du ha uträkningen?
Rita upp de båda trianglarna. Om jag hade velat se dina uträkningar hade jag bett dig om det, inte att du skulle rita.
Båda ser ut att funka, så det verkar jättebra.
Tack så mycket för hjälpen!
