Hjälp med förenkling, linjär algebra
Uppgiften är följande: Bestäm för varje reellt a antalet lösningar till ekvationssystemet
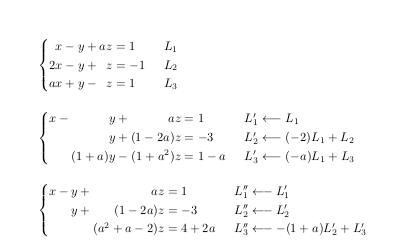
Hittills har jag med gaussisk eliminering fått fram
När jag sedan gör gaussisk eliminering igen genom att ta -(1+a)(2') och adderar det med (3') får jag ekvationen:
Den ska gå att förenkla nog mycket för att kunna använda nollproduktmetoden och få fram att:
Men efter många timmar av försök och jämförande med ekvationen i Wolfram Alpha har jag än inte lyckats komma fram till det svaret. Finns det någon vänlig själ som skulle kunna göra förenklingen stegvis så att jag kan få se var det blir fel för mig? Skulle uppskattas mycket då den här uppgiften har varit en käpp i hjulet under en lång tid nu.
Bananpaj59: Jag har svarat dig tidigare, i ett liknande spörsmål.
Du var inte bekant med determinanter.
Min fråga är nu, om du är bekant med matriser/matrisalgebra?
Linjära ekv system/Gausselimination behandlas nämligen elegant med matriser.
Om dina beräkningar stämmer, vilket jag inte har kollat, så kan du bryta ut faktorn 1+a i vänsterledet. Det betyder att något intressant händer när den faktorn är noll.
dr_lund skrev:Bananpaj59: Jag har svarat dig tidigare, i ett liknande spörsmål.
Du var inte bekant med determinanter.
Min fråga är nu, om du är bekant med matriser/matrisalgebra?
Min tidigare fråga var egentligen samma fråga men jag insåg idag att jag i min förvirring att jag hade blandat ihop två uppgifter när jag lade upp frågan på pluggakuten, därav det nya inlägget för att ge en bättre grund till någon som eventuellt kunde hjälpa. Tyvärr är jag fortfarande i stadiet med endast gaussisk eliminering och då jag inte kommer vidare med frågan omformulerade jag mig för att se om någon kunde visa mig hur jag gör fel.
Jag förstår inte vad "a = -2 a skilt från 1" ska betyda. De frågar efter antalet lösningar för olika a, och man behöver inte säga att a är skilt från 1 om a är -2.
Laguna skrev:Jag förstår inte vad "a = -2 a skilt från 1" ska betyda. De frågar efter antalet lösningar för olika a, och man behöver inte säga att a är skilt från 1 om a är -2.
Det är nog bara jag som varit otydlig inser jag.
Anledningen till att förenklingen ska ge svaret a=2 med nollproduktmetoden är för att ekvationssytemet då får oändligt många lösningar.
Anledningen till att man ska hitta a skilt från 1 är för att det värdet gör så att ekvationssystemet saknar lösningar, vilket också är en intressant punkt.
Jag ser ett fel i din eliminering: det ska vara -z(1+a2) i 3'.
Jag hittade för övrigt (av en slump, antar jag) en eliminering som gör saker lite enklare: addera ekvationerna 2 och 3.
Bananpaj59 skrev:Laguna skrev:Jag förstår inte vad "a = -2 a skilt från 1" ska betyda. De frågar efter antalet lösningar för olika a, och man behöver inte säga att a är skilt från 1 om a är -2.
Det är nog bara jag som varit otydlig inser jag.
Anledningen till att förenklingen ska ge svaret a=2 med nollproduktmetoden är för att ekvationssytemet då får oändligt många lösningar.
Anledningen till att man ska hitta a skilt från 1 är för att det värdet gör så att ekvationssystemet saknar lösningar, vilket också är en intressant punkt.
Du har ett fel i (3'). Det skall vara -z(1+a2), om jag räknar rätt.
Tack så mycket för hjälpen! Äntligen fick jag lite rätsida på det jag grubblat på nu i två dagar. Nu fungerade det utan problem.
Laguna skrev:Jag hittade för övrigt (av en slump, antar jag) en eliminering som gör saker lite enklare: addera ekvationerna 2 och 3.
Fascinerande hur mycket enklare uppgiften var när jag adderade 2 och 3 av ren nyfikenhet.
Min tanke med Gausseliminering syftar till att få systemet "på trappform"(detta inses tydligare med matrisnotation)
Jag fick följande sekvens av system:

För alternativet "oändligt många lösningar" måste tredje systemet släckas ut, dvs vi får ett underbestämt system.
I V.L. måste då gälla att z-koeff. är noll: dvs . Härav fås två alternativa a-värden:a=1 resp. a=-2.
Det innebär att vi måste kolla om något av dessa a-värden kan nolla H.L. Vi inser snabbt att a=-2 ger oss oändligt många lösningar.
Nå, men den andra V.L.-kandidaten, a=1? Insättning ger oss 0=6, vilket ju är omöjligt. Slutsats: för a=1 saknar systemet lösningar.
Till sist: Entydig lösning fås då .
Anm: Detta hade vi löst mycket mer elegant med determinantteori.
dr_lund skrev:Min tanke med Gausseliminering syftar till att få systemet "på trappform"(detta inses tydligare med matrisnotation)
Jag fick följande sekvens av system:
För alternativet "oändligt många lösningar" måste tredje systemet släckas ut, dvs vi får ett underbestämt system.
I V.L. måste då gälla att z-koeff. är noll: dvs . Härav fås två alternativa a-värden:a=1 resp. a=-2.
Det innebär att vi måste kolla om något av dessa a-värden kan nolla H.L. Vi inser snabbt att a=-2 ger oss oändligt många lösningar.
Nå, men den andra V.L.-kandidaten, a=1? Insättning ger oss 0=6, vilket ju är omöjligt. Slutsats: för a=1 saknar systemet lösningar.
Till sist: Entydig lösning fås då .
Anm: Detta hade vi löst mycket mer elegant med determinantteori.
Tack för en väldigt genomgående lösning! Nu hjälpte du även med en annan sak som jag var osäker på, nämligen hur man bestämmer vilken V.L-kandidat som ger oändligt många lösningar på ett ”korrekt” sätt. Blir alltid lika förundrad över hur bra hjälp pluggakuten är.
Ska bli intressant att förhoppningsvis få se vad determinantteori är i boken framöver då det verkar vara en bättre lösningsmetod.