1
svar
578
visningar
Hjälp med kärnfysik frågor.
Hej, jag behöver lösa några uppgifter men är osäker om jag gjorde rätt.
Frågorna:
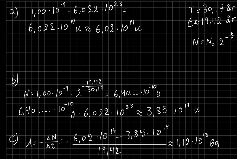
Ett radioaktivt preparat tillverkades i januari 2000 och innehöll då 1,00 ng Cs-137.
a) Hur många kärnor av Cs-137 innehöll preparatet från början?
b) Hur många kärnor av Cs-137 innehåller preparatet idag?
c) Hur stor är aktiviteten av Cs-137 i preparatet idag?
d) Hur stor är aktiviteten av exciterat Ba-137 i preparatet idag?
Här är mitt försök:

Gjorde jag rätt?
D) vet jag inte riktigt hur jag ska göra.
Tack i förhand.
Det har gått lite snett när du räknade. Du har samma uppgift här, det kanske hjälper:
https://www.pluggakuten.se/trad/radioaktivitet-10/