Hjälp med kontinuerlig funktion
Problemet lyder:
En funktion kan beskrivas med olika formler på olika delar av sin definitionsmängd.
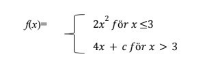
Funktionen f är definierad på följande sätt:

För vilket värde på c är funktionen kontinuerlig?
Jag har fastnat rejält då jag inte kommer längre än att ens förstå att den kan vara kontinuerligt.
Tacksam för svar!
Om den är kontinuerlig så får det (enkelt uttryckt) inte finnas några "hopp" i funktionen. När x är pyttelite större än 3 måste därför vara nästan exakt lika med . Ett sätt att uppnå det är att se till att definitionen som gäller för är lika med definitionen som gäller för när
Tack för svaret! Bra beskrivet, känns lättare att se det framför mig nu. Däremot så känns det fortfarande kämpigt med att "komma på" vad c kan vara. Ska jag använda någon metod eller prova med olika tal?
f(3) = 2*32 =18
Om x närmar sig 3 från höger (dvs x>3), så närmar sig f(x) värdet 4*3+c=12+c
Om f ska vara kontinuerlig, måste dessa båda värden vara lika. Således 12+c=18 som ger ditt c-värde.