2
svar
232
visningar
Kranis behöver inte mer hjälp
hjälp med omskrivning Eulers-formel
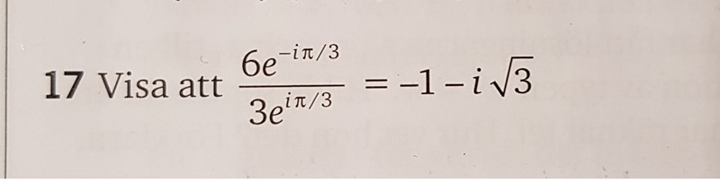
Ang uppgift:

Jag lyckas lösa detta tal efter kollat i facit.
Men skulle behöva förstå varför inte initiala lösning fungerar:
Lösning:

Vad händer om du förlänger ditt bråk med
?
Tack! Då kom jag hela vägen.