4
svar
197
visningar
Hjälp mig att derivera igen :/, gärna med steg och steg, tack!

Det står att man ska avlägsna derivata, vilket jag inte förstår heller sedan använda deriveringsregeln i bilden som jag inte fattar heller 🥲, vart kommer f och g ifrån? Varför är det en d delat på d gånger x?
Jag vet inte vad som menas med "avlägsna derivata". Kan du visa den texten?
skrivet framför ett uttryck betyder derivatan med avseende på x. är samma sak som f'(x).
Regeln säger att man kan derivera dem var för sig och summera derivatorna, väldigt användbart
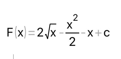
Räkna ut derivatan av . Räkna ut derivatan av . Räkna ut derivatan av . Räkna ut derivatan av . Summera. Klart.