Hjälp mig förstå har prov imorgon
Hej ! Har prov imorgon och går igenom gamla tentor som lagts ut. Då jag kommer lägga bilden på frågan sedan lösningen vill jag förstå vad självaste problemet eller lösningen faller inom för kategori, vad heter detta? vill nämligen läsa på om hur man tar sig an liknade problem då varje prov ser liknade ut så kommer förmodligen en liknade fråga imorgon.
Med vänlig hälsning, 

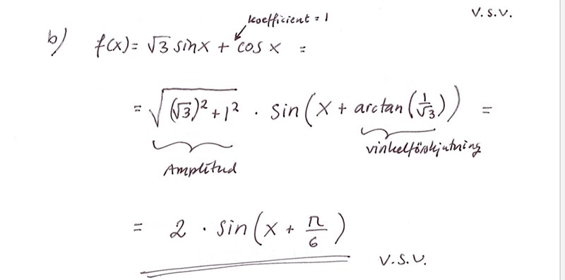
Det borde finnas i din kursbok. Avsnittet heter kurvan y = a sin x + b cos x eller något liknade. Det avsnittet finns både i Origo 4 och Matematik 5000 4 vet jag.
AndersW skrev:Det borde finnas i din kursbok. Avsnittet heter kurvan y = a sin x + b cos x eller något liknade. Det avsnittet finns både i Origo 4 och Matematik 5000 4 vet jag.
Hitta det nu! Tack! :D