1
svar
106
visningar
hubben21 behöver inte mer hjälp
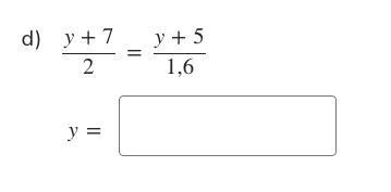
Hjälp mig snälla med denna ekvation
Hej, jag förstår inte hur jag ska räkna ut denna ekvation. har gjort halva ekvationen och med gissningar fått fram svaret att y=3. vilket stämmer när jag kollat facit. Men vill veta hur jag skulle gjort det med rätt metod! om någon kan skriva extemt tydligt exakt alla steg!
infogar en bild på ekvationen! tack på för hand!
Multiplicera upp nämnaren på HL och VL.
Klarar du resten? Visa steg för steg hur du har försökt och fråga igen om du fastnar.