3 svar
229 visningar
johannapannkaka 1 – Fd. Medlem
Postad: 4 jul 2017 20:08 Redigerad: 6 jul 2017 18:45

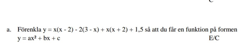
Förenkling


 Rubrik ändrad från  "Hjälp.. nån.. hur ska jag lösa detta?"  till  "Förenkling"  av moderator. /statement

Henrik Eriksson 1386 – Fd. Medlem
Postad: 4 jul 2017 20:08

Hur har du försökt?

statement 2255 – Fd. Medlem
Postad: 4 jul 2017 20:11 Redigerad: 4 jul 2017 20:12

Var vänlig och ändra rubriken samt visa ditt försök. /moderator


Regel 1.1

När en tråd skapas ska rubriken tydligt ange trådens innehåll.

Regel 6.2

Försök alltid att lösa uppgiften själv innan du postar en tråd. I inlägget ska din tankegång och lösningsmetod formuleras, försök vara så specifik som du bara kan.

Korra 3888
Postad: 4 jul 2017 20:24
johannapannkaka skrev :

Ta term för term och sedan lägg ihop allt, det är inget konstigt. Man ska bara följa den vanliga räkneordningen. Prova detta:
x(x-2)=?-2(3-x)=?x(x+2)=?+ 1,5
Och lägg ihop allt.

Svara
Close