Geometrisk talföljd – rekursiv foirmel
kan någon hjälpa mig och lösa denna fråga. 
Rubrik ändrad från "Hjälp, Super nödvändig!!" till nuvarande. En beskrivande rubrik underlättar för den som svarar, och hjälper till att skilja trådar från varandra. Läs gärna mer om rubriksättning här. /Smutstvätt, moderator
Välkommen till Pluggakuten, alhassan.obid!
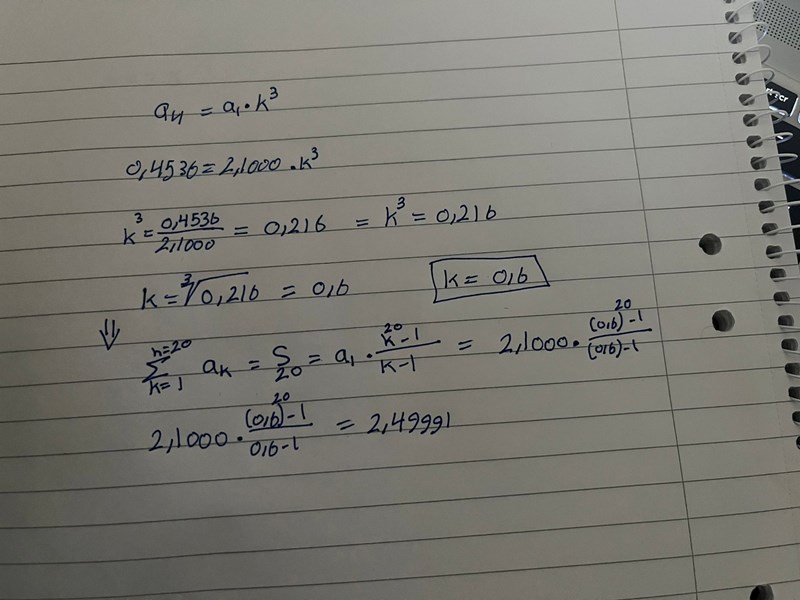
I en geometrisk talföljd är kvoten mellan två 'grannar' hela tiden lika stor (konstant).
Låt a1 vara given (som i exemplet).
Beteckna kvoten med k .
Då är a2 = a1 * k
a3 = a2 * k = a1 * k2
a4 = a3 * k = a1 * k3
Du vet a1 och a4 och nu vet du också att a4 = a1 * k3
Vad blir då k ?
Kommer du vidare från det?
är den rätt så? 
Nu är du på rätt väg!
k = 0,6 (eller bör man skriva k = 0,6000 ?)
Summan är rätt uppställd (hur många siffror ska man ha med i svaret?).
Så långt allt OK.
Bara sista uppgiften kvar:
Ange den rekursiva formeln för talföljden
Hur gör man det?
Fundera på hur man räknar ut a2 om man vet a1, hur man räknar ut a3 om man vet a2 och så vidare.
an=k(n-1) * a1
stämmer det?
Det stämmer, men det är inte en rekursiv formel.
Fundera på hur man räknar ut a2 om man vet a1, hur man räknar ut a3 om man vet a2 och så vidare.
Och fundera på hur du får fram an+1 om du vet an. När du vet det, har du din rekursiva formel.
alhassan.obid skrev:an=k(n-1) * a1
stämmer det?
Stämmer, men här har du givit talföljden i sluten form;
Givet a1 och k kan du nu direkt beräkna an för vilket värde som helst på n (n ≥ 2)
Här är en video som visar skillnaden mellan sluten form och rekursiv form
https://youtu.be/ZPsgvS0ttXY
-----------------------------------
Nya ord, nya begrepp. Abstrakta är de också!
Men man vänjer sig snart.
Stora historiska ordboken SAOB (www.svenska.se) säger detta om rekursion:
"a) mat. om matematisk serie: vars alla termer bestämmas ur den l. de närmast föregående gm en viss formel (rekursionsformeln). VetAH 1819, s. 204. TMatFysKemi 1920—21, s. 71."
I vårt fall blir det:
Om talföljd vars alla termer bestäms ur den (eller de) närmast föregående
genom en viss formel, rekursionsformeln.
Ger man rekursionsformeln, så har man angivit talföljden i rekursiv form.
Följ Smaragdalenas råd!