Vad är "flytta tvåan till högerledet" för ett konstigt räknesätt? Det känner jag inte till.
Dividera båda sidorna med 2 så får du 1/4 i HL.
Dra roten ur båda leden så blir det x-0,5 = plusminus 0,5i.
Resten fixar du, eller hur?!
Du misslyckades att dividera ekvationen med 2. Komplicerat och fel.
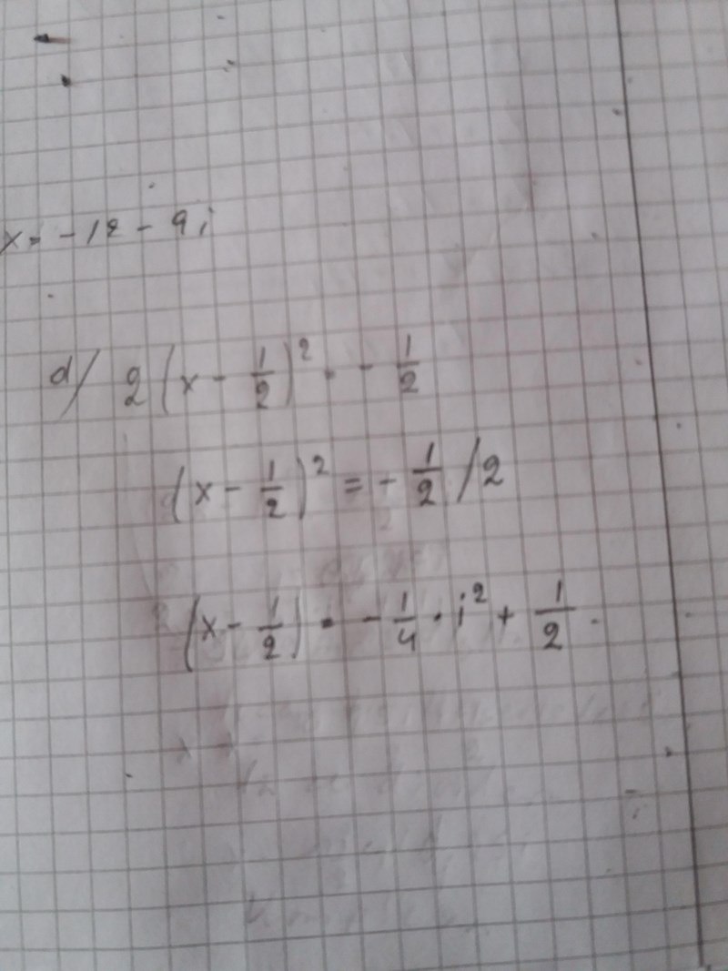
Nej, snälla du, när du dividerar VL med 2 blir det inte någon 2:a i nämnaren.Du hade ju gjort det rätt på den första bilden. Om du räknar ut rad 2 där så blir HL = -1/4. Fortsätt därifrån och dra roten ur båda leden.
Det ska inte bli något rottecken i VL. Och du förlorade "+-". Och det ska bli bara "i" - inte "i^2". Ett större antal slarvfel. Kontrollera själv innan du laddar upp det nästa försöket.
Kan du påpeka var i är fel någonstans
Som jag skrev. Om något går fel så börja om på ett tomt pappersark och gör ett steg på gång.
0. dividera med 2
1. separera "-1" från "1/4"
2. beräkna kvadratrot
3. addera 1/2
Det finns fortfarande slarvfel. Du ska inte ha "/2" i VL !!! Vid kvadratrot ska det bli "+-" och det ska överleva alla ytterligare steg. "+-" ska stå före i och inte före "1". Det ska bli tydligt om rottecknet täcker bara (rätt, men "+-" saknas) "1/4" eller (fel) "1/4 * i".
Du har redigerat ditt inlägg "Kan du påpeka var i är fel någonstans". Men alla dina försök innehåller samma slags slarvfel.
Lösningsförslag:

Toppen Yngve!
Det här blir jag glad över!
Du är helt fantastisk.
Jag tackar Dig Yngve och för Er övriga som har varit med. Tackar att Magdalena också var framme.
Glöm inte det viktiga steget:

Det där tycker jag är lite knepigt, men behöver hjälp med det.
Päivi skrev :Det där tycker jag är lite knepigt, men behöver hjälp med det.
Träna mycket och be om hjälp.
Du gör på samma sätt som när du kontrollerar dina lösningar till andra ekvationer.
Exempel. Du löser ekvationen x^2 - x - 2 = 0 och kommer fram till lösningarna x1 = 2, x2 = -1.
Du kontrollerar lösningarna en i taget:
Först x1: 2^2 - 2 - 2 = 4 - 2 - 2 = 0. Det stämmer!
Sedan x2: (-1)^2 - (-1) - 2 = 1 + 1 - 2 = 0. Det stämmer!
Det måste jag göra. Detta är viktigt.





