40
svar
176
visningar
Trinity2 behöver inte mer hjälp
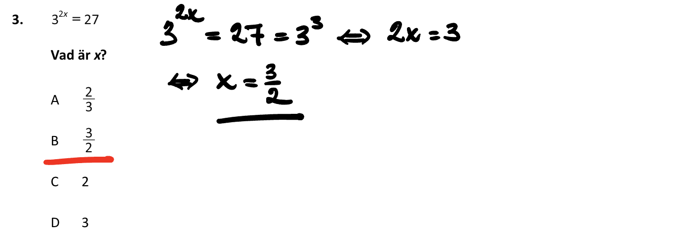
Högskoleprovet 25-04-05, provpass 3
Lösningsförslag













































