högsta hastighet beroende på bromssträcka
En bils bromssträcka kan beskrivas med s(v)=0,006v2+0,3v, där s(v) är bromssträckan i meter och v är hastigheten i km/h.
Hur fort kan man högst köra, om bromssträckan ska bli maximalt 50 meter?
Jag tänkte att man skulle sätta in s(v)= 50 och få fram x sym för att sedan sätta in det som v men det blir fel svar. Vad ska jag göra?
Om du sätter s(v)=50, vilket värde får du då på v?
s(v) är en andragradsekvation.
Sten skrev:Om du sätter s(v)=50, vilket värde får du då på v?
s(v) är en andragradsekvation.
får att v=-25 men vet inte om det är rätt för när jag sedan sätter in det i ekvationen blir svaret negativt och decimaltal men svaret ska bli 70 km/h så vet inte vad jag gör för fel.
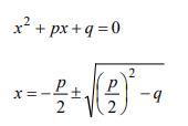
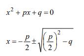
En andragradsekvation ger två lösningar enligt pq-formeln. Vilken blir den andra?

EDIT: Skriv om formeln så att den går att lösa med pq-formeln, det ska vara något tal framför .
När du har fått fram två lösningar på v kan en strykas, endast en lösning är möjlig i detta fall.
Sten skrev:En andragradsekvation ger två lösningar enligt pq-formeln. Vilken blir den andra?
EDIT: Skriv om formeln så att den går att lösa med pq-formeln, det ska vara något tal framför .
När du har fått fram två lösningar på v kan en strykas, endast en lösning är möjlig i detta fall.
När jag gör pq formeln får jag x1= -50 och x2= 0. Då blir symmetrilinjen -25 men när jag använder mig av -p/2 blir symmetrilinjen -0,15. Är förvirrad:(
Berätta hur du gjort om så att den passar pq-formeln.
Jag får andra lösningar på x1 och x2.
Symmetrilinjen behövs inte här, det räcker med ett (av två) värde på v. Det är inget extremvärde (max/min) som ska beräknas.
Sten skrev:Berätta hur du gjort om så att den passar pq-formeln.
Jag får andra lösningar på x1 och x2.
Symmetrilinjen behövs inte här, det räcker med ett (av två) värde på v. Det är inget extremvärde (max/min) som ska beräknas.
Jag glömde dela med 0,006. Men nu fick jag x1= -119 OCH x2=69. Så då väljer jag bara det x värde som är troligast? dvs 69 eftersom det andra är negativt? Har jag tänkt rätt då?
Det ser rätt ut, men är kanske ett litet avrundningsfel någonstans.
,
då fick jag
Hastigheten som ger 50 m bromssträcka kan inte vara negativ. Men 70 km/h är godkänt.
Så här ser grafen av s(v) ut. Hastigheten på x-axeln och bromssträckan s(v) på y-axeln. Bromssträckan 50 m är markerad.
Tänk på att det är olika enheter. Hastigheten anges i km/h och bromssträckan i meter. Men i det här fallet behöver man inte omvandla enheterna, det är inbyggt i formeln.

s(v) = 0,006v2+0,3v
om s(v) = 50m
0,006v2+0,3v = 50
0,006v2+0,3v - 50 = 0
v2+50v - 25000/3 = 0
p = 50; q = -
v1 = 13,2m/s gångra med så blir det 3,7km/h
v2 = -63,2m/s gångra med så blir det -17,6km/h
v93semme, uppställningen är rätt fram till de två sista raderna.
pq-formeln ger , alltså v= -120 eller 70 och det negativa värdet kan förkastas
I uppgiften står "s(v) är bromssträckan i meter och v är hastigheten i km/h", så man behöver inte göra några omvandlingar av enheter under uträkningen i detta fall. I de flesta uppgifter behöver man dock se till att siffror man räknar med har samma enhet.
Omvandlingen mellan m/s och km/h på de två sista raderna stämmer inte. En bra minnesregel är att
10 m/s = 36 km/h, 20 m/s = 72 km/h och 25 m/s = 90 km/h.
