Hooks lag, räkna ut spänning och längdförändring
Hej!
har fastnat på en uppgift som lyder:
"Ett stålrör med di mm i inre diameter och godstjockleken t mm påverkas av en centrisk dragkraft av N kN. Hur stor blir spänningen och hur mycket längre blir röret om det från början är L m långt? Ställ upp ett uttryck, och beräkna för, di=25 mm och t=4mm, N=50kN, L=5m, E=210 GPa."
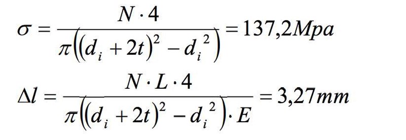
Facit säger: 
men jag får inte samma. För att räkna ut spänningen använde jag själv spänning = N/A där jag fick A till (((di/2)+t)^2 x pi) men det räcker uppenbarligen inte. Har man använt en till ekvation? Varför isåfall? och var får de 4 ifrån?
Faktorn 4 kommer från att de räknar med diametern, inte radien. För att få uttöjningen har man multiplicerat spänningen med rörets längd och dividerat med elasticitetsmodulen.
Tack snälla för hjälpen! Insåg nu att jag också tänkte fel