coffeshot 431
Postad: 4 apr 2025 09:32 Redigerad: 4 apr 2025 09:33

Hoppande partikel: Skillnad mellan intuition och algebra

Hej!

Jag jobbade med följande uppgift:

En partikel startar i punkten 0. Den hoppar först ett steg åt höger eller vänster (dvs till ±1\pm 1 med lika sannolikhet). Därnäst från sin nya position ånyo ett steg, åt höger eller vänster med lika sannolikhet och oberoende av första hoppet. Låt X och Y vara partikelns läge efter 1:a respektive 2:a hoppet. Beräkna: a) simultana sannolikhetsfunktionen för X och Y. b) Korrekationskoefficenten för X och Y

(Gunnar Blom m. f.l, Sannolikhetsteori och statistikteori med tillämpningar uppgift 5.19)

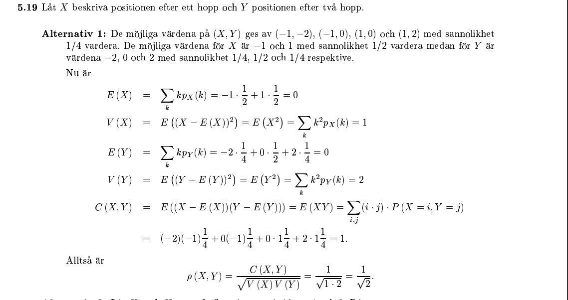
Min lösningsgång är i princip identisk med lösningsförslaget, så jag lägger in en skärmdump på den istället för mina plottriga anteckningar:

Den är b) som jag funderar på. Vi får att C(X,Y)=1C(X,Y)=1. Jag får samma algebraiskt, jag fattar lösningsgången, men jag stannade upp när jag löste uppgiften själv och fick att C(X,Y)=1C(X,Y)=1. Som jag har förstått det kan C(X,Y)>1C(X,Y) > 1 tolkas som att "om X ökar i värde, så ökar Y i värde". Men låt säga att partikeln:01\text{partikeln}: 0\rightarrow 1, dvs X=1X=1. Nu inför andra hoppet kan den hoppa till 00 och 22 med lika stor sannolikhet. Alltså är det lika stor sannolikhet att YY ökar i värde om XX ökar i värde som att YY minskar i värde om XX ökar i värde. Och därav borde C(X,Y)=0C(X,Y)=0 rent inutitivt (enligt min egna intuition iallafall). Eller har jag missuppfattat hur korrelation funkar?

Gustor 838
Postad: 4 apr 2025 11:50 Redigerad: 4 apr 2025 11:57

Nja, det ska inte vara C(X,Y)>1C(X,Y)>1, utan C(X,Y)>0C(X,Y)>0. Är kovariansen positiv så korrelerar de positiva värdena för XX med de positiva värdena för YY och på samma sätt för de negativa värdena. Är kovariansen negativ gäller det omvända (positiva värden hos XX korrelerar med negativa värden hos YY och vice versa).

Detta handlar alltså inte om ökning eller minskning, utan en positiv korrelation betyder snarare att om vi utför ett experiment många gånger så kommer värdena för XX och YY tendera att falla över eller under sina väntevärden samtidigt.

Säg att ett experiment ger något utfall X=xX=x över väntevärdet, x>E[X]x>E[X]. Om detta ökar sannolikheten för YY att ge ett utfall över sitt väntevärde, ja då finns en positiv korrelation mellan XX och YY.

Så exempelvis om X=1X=1 så är YY antingen 0 eller 2 med samma sannolikhet, vilket vi kan skriva E[YX=1]=1E[Y\mid X=1] = 1. På samma sätt är E[YX=-1]=-1E[Y\mid X=-1] = -1. Däremot är E[Y]=0E[Y] = 0. Så det verkar rimligt att kovariansen är positiv.

coffeshot 431
Postad: 5 apr 2025 11:47 Redigerad: 5 apr 2025 11:47
Gustor skrev:

Nja, det ska inte vara C(X,Y)>1C(X,Y)>1, utan C(X,Y)>0C(X,Y)>0. Är kovariansen positiv så korrelerar de positiva värdena för XX med de positiva värdena för YY och på samma sätt för de negativa värdena. Är kovariansen negativ gäller det omvända (positiva värden hos XX korrelerar med negativa värden hos YY och vice versa).

Detta handlar alltså inte om ökning eller minskning, utan en positiv korrelation betyder snarare att om vi utför ett experiment många gånger så kommer värdena för XX och YY tendera att falla över eller under sina väntevärden samtidigt.

Säg att ett experiment ger något utfall X=xX=x över väntevärdet, x>E[X]x>E[X]. Om detta ökar sannolikheten för YY att ge ett utfall över sitt väntevärde, ja då finns en positiv korrelation mellan XX och YY.

Så exempelvis om X=1X=1 så är YY antingen 0 eller 2 med samma sannolikhet, vilket vi kan skriva E[YX=1]=1E[Y\mid X=1] = 1. På samma sätt är E[YX=-1]=-1E[Y\mid X=-1] = -1. Däremot är E[Y]=0E[Y] = 0. Så det verkar rimligt att kovariansen är positiv.

Tack för svaret! >1> 1 var ett skrivfel från min sida, ber om ursäkt. Betingade väntevärden ingår inte i min kurs, men jag tror att jag hade missförstått hur kovariansen kan tolkas. Har jag förstått det rätt nu? Givet mitt tidigare exempel: partikeln hoppar från 00 till 11. Då kan partikeln antingen hoppa tillbaka till 00 eller till 22. Vi kommer alltså få att YY antar ett värde mellan 0 och 2. Eftersom E(Y)=0E(Y)=0, och 2>E(Y)2 > E(Y), så antar YY värden som är lika med eller större än sitt väntevärde när XX gör detsamma (eftersom E(X)=0E(X)=0).

Då kommer en följdfråga: Hur är det med korrelationskoefficienten ρ(X,Y)=C(X,Y)D(X)D(Y)\rho(X,Y)=\frac{C(X,Y)}{D(X)D(Y)}. Här gäller det väl att ρ<0\rho < 0 om en ökning i X leder till en minskning i Y och att ρ>0\rho > 0 om en ökning i X leder till en ökning i Y? Dvs. för ρ\rho är ökningar och minskningar en relevant tolkning. Eller jag missförstått?

Gustor 838
Postad: 5 apr 2025 14:37 Redigerad: 5 apr 2025 14:37

Ja, i princip. Det som avgör om det finns en korrelation är om det förväntade värdet på YY förändras givet att vi vet något om XX. Alltså att om X=1X=1 (partikeln hoppar till 1) så gör denna information att vårt nya förväntade värde på YY blir 1. Har vi inte denna information så är E[Y]=0E[Y]=0.

När vi skriver E[YX=1]=1E[Y\mid X=1]=1 så betyder detta "det förväntade värdet (väntevärdet) av YY givet att vi vet att X=1X=1, dvs. partikeln har hoppat till 1, är lika med 1".

När vi skriver E[Y]=0E[Y]=0 betyder det "det förväntade värdet av YY utan någon ytterligare information om vilket värde XX antar är noll".

Gustor 838
Postad: 5 apr 2025 15:15 Redigerad: 5 apr 2025 15:27

Du kan tänka på korrelationskoefficienten ρ(X,Y)\rho(X,Y) som en slags normaliserad kovarians.

Korrelationskoefficienten är ett alltid ett tal mellan -1-1 och 11, medan kovariansen C(X,Y)C(X,Y) kan vara lite vad som helst beroende på vilka värden som XX och YY antar. Om t.ex. kovariansen för X1X_1 och Y1Y_1 är, säg, C(X1,Y1)=56C(X_1,Y_1)=56, så kan vi inte dra slutsatsen att detta är ett starkare eller svagare samband än för variablerna X2X_2 och Y2Y_2 som har kovariansen C(X2,Y2)=719C(X_2,Y_2) = 719. Det beror helt enkelt på vad variablerna antar för värden.

Kovariansen har även en enhet som man får genom att multiplicera enheten för XX med enheten för YY.

I korrelationskoefficienten delar man med standardavvikelserna för XX och YY och erhåller därmed ett reellt tal utan enhet, som kan vara fördelaktigt.

Korrelationskoefficienten är precis som kovariansen ett mått på i vilken utsträckning två variabler är linjärt relaterade. Det finns alltså två skillnader: korrelationskoefficienten har ingen enhet (den är dimensionslös), och den är alltid ett tal mellan -1-1 och 11. Om den är 11 (eller -1-1) så ligger alla värdena (x,y)(x,y) exakt på en rät linje i en vanlig xyxy-plot. Det finns alltså ett "perfekt" linjärt förhållande mellan variablerna.

En fördel med att använda korrelationskoefficienten är att om ρ(X1,Y1)=0.25\rho(X_1,Y_1) = 0.25 och ρ(X2,Y2)=0.14\rho(X_2,Y_2)=0.14 så är korrelationen mellan X1X_1 och Y1Y_1 i någon mening starkare än det för X2X_2 och Y2Y_2.

Här är en användbar bild med några xyxy-plottar och deras korrelationskoefficient:

Från: https://en.wikipedia.org/wiki/Correlation.

Notera att i den horisontella linjen i mitten så är variansen för YY noll, så korrelationskoefficienten är inte definierad där. Notera också att det finns tydliga samband i den nedre raden, men dessa är av icke-linjära karaktärer, och fångas inte av korrelationskoefficienten.

Det gäller förstås även att kovariansen är positiv när korrelationskoefficienten är positiv, och vice versa.

Svara
Close