Hur avgör man om f är begränsad ?

-1.jpg?width=800&upscale=false)

Hej!
Jag är inte helt klar med 1a) då jag fastnade på att avgöra om funktionen är begränsad. Är osäker på om man ska först ta fram sup och sen använda motsägelsebevis för att anta att den inte är begränsad. Sen undrar jag om jag resonerat rätt på övriga frågor om f:s Df ,Vf samt udda/jämn egenskaper. Det här med injektiv och inverterbarhet tror jag att jag vet hur man kan visa, det har ju en definition. Så jag måste kolla om f uppfyller injektivitet ,surjektivitet eller bijektivitet för att säga om den är inverterbar. Lite tips där hade inte skadat!
För att visa att en fkn f är begränsad behöver man inte ta fram sup och inf. Det räcker visa att det finns ett B sådant att |f(x)|<=B för alla x i Df.
Tomten skrev:För att visa att en fkn f är begränsad behöver man inte ta fram sup och inf. Det räcker visa att det finns ett B sådant att |f(x)|<=B för alla x i Df.
Vilken teori säger att man ska visa att det finns ett B sådant att |f(x)| <=B för alla x i Df? Jag hittar inget om detta i häftet. Det står liksom såhär. Varför kan man inte utnyttja motsägelsebevis metoden för att visa att den funktionen är begränsad om man antar att den inte är begränsad?

Du skriver att har värdemängden per definition. Det betyder ju åtminstone att är en nedre gräns och är en övre gräns för vilka värden som någonsin kan komma på tal för , dvs .
Jag tror också du behöver gå tillbaka några steg. För att ska vara definierad måste eftersom vi inte får dra roten ur negativa tal i reell analys. Du måste göra om
D4NIEL skrev:Du skriver att har värdemängden per definition. Det betyder ju åtminstone att är en nedre gräns och är en övre gräns för vilka värden som någonsin kan komma på tal för , dvs .
Jag tror också du behöver gå tillbaka några steg. För att ska vara definierad måste eftersom vi inte får dra roten ur negativa tal i reell analys. Du måste göra om
Ja juste. Då blir ju Df=[1,inf)
Mm, men du har ju fortfarande en arccos utanför som kräver ett argument i intervallet . Så du får kombinera!
D4NIEL skrev:Mm, men du har ju fortfarande en arccos utanför som kräver ett argument i intervallet . Så du får kombinera!
Om man tar snittet av bägges definitionsmängder dvs [-1,1] och [1,inf) så får man väl [1,inf). Det är det jag kan komma på då ln(x) inte kan ta in negativa tal som argument.
Om man tar snittet av bägges definitionsmängder dvs [-1,1] och [1,inf) så får man väl [1,inf). Det är det jag kan komma på då ln(x) inte kan ta in negativa tal som argument.
Nej, det stämmer inte med [-1,1].
Smaragdalena skrev:Om man tar snittet av bägges definitionsmängder dvs [-1,1] och [1,inf) så får man väl [1,inf). Det är det jag kan komma på då ln(x) inte kan ta in negativa tal som argument.
Nej, det stämmer inte med [-1,1].
Nej jag vet. Därför svarade jag [1,inf) istället. Notera att [-1,1] är def för arccos(x) så den kan man inte bara ignorera men hur man kombinerar ihop bägge två definitionsmängder vet jag inte.
Ett tal som är större än 1 tillhör inte mängden [-1,1] och uppfyller alltså inte kraven. Snittet mellan [-1,1] och [1,inf) innehåller inte några tal som är större än 1.
Det är möjligt att du menar något annat än det du har skrivit, det är inte lätt att gissa i så fall.
Smaragdalena skrev:Ett tal som är större än 1 tillhör inte mängden [-1,1] och uppfyller alltså inte kraven. Snittet mellan [-1,1] och [1,inf) innehåller inte några tal som är större än 1.
Det är möjligt att du menar något annat än det du har skrivit, det är inte lätt att gissa i så fall.
Ah okej ja asså jag försöker bara skapa en kombination av definitionsmängden för arccos och definitionsmängden för ln(x) som jag och Daniel pratade om. Så [1,inf) kan inte vara en definitionsmängd till 1a) arccos(ln(sqrt(x)) för att något tal i det intervallet [1,inf) inte tillhör mängden [-1,1]? Isåfall skulle snittet kunna vara bara (0,1] men 0 tillhör inte [1,inf)
Om du har två funktioner F och G. Hur definierar man definitionsmängden för den sammansatta funktionen FG?
Jo, . Dvs definitionsmängden för den sammansatta funktionen är de element x i definitionsmängden för G vars bilder G(x) hamnar i definitionsmängden för F. Vilket känns naturligt, om man tänker på det.
Om vi nu som exempel tar G(x) = lnx, med definitionsmängd x > 0. Och F(x) = med definitionsmängd x 0. För vilka x > 0 gäller det att lnx 0? Jo, detta är uppfyllt om x 1.
Så definitionsmängden för den sammansatta funktionen är x 1.
Sedan kan du gå vidare och fråga vad definitionsmängden för den sammansatta funktionen arccos() blir. Definitionsmängden för arccos är [-1, 1 ]. För vilka x1 ligger i intervallet [-1, 1]?
PATENTERAMERA skrev:Om du har två funktioner F och G. Hur definierar man definitionsmängden för den sammansatta funktionen FG?
Jo, . Dvs definitionsmängden för den sammansatta funktionen är de element x i definitionsmängden för G vars bilder G(x) hamnar i definitionsmängden för F. Vilket känns naturligt, om man tänker på det.
Om vi nu som exempel tar G(x) = lnx, med definitionsmängd x > 0. Och F(x) = med definitionsmängd x 0. För vilka x > 0 gäller det att lnx 0? Jo, detta är uppfyllt om x 1.
Så definitionsmängden för den sammansatta funktionen är x 1.
Sedan kan du gå vidare och fråga vad definitionsmängden för den sammansatta funktionen arccos() blir. Definitionsmängden för arccos är [-1, 1 ]. För vilka x1 ligger i intervallet [-1, 1]?
sqrt(ln(x))>=0 ger ju
ln(x)>=0
x>=1
sqrt(ln(x)>=1
x>=e
Så Df=[1,e]
Svaret ser rätt, men det är lite svårt att följa vägen fram till svaret.
PATENTERAMERA skrev:Svaret ser rätt, men det är lite svårt att följa vägen fram till svaret.

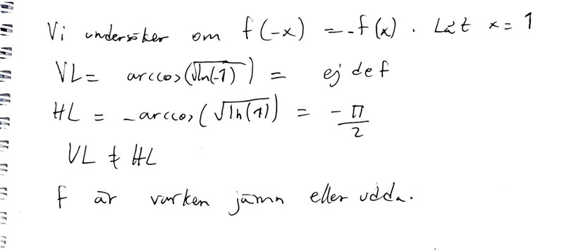
Gällande begränsad så skrev jag följande:
