4 svar
79 visningar
destiny99 behöver inte mer hjälp
destiny99 10984
Postad: 28 feb 2023 12:58 Redigerad: 28 feb 2023 13:03

Hur avgörs svängningstiden mha dimensionsbetraktelser?

hej!

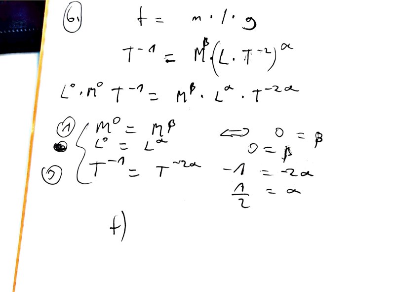
Såhär har jag förstått att man ska göra, men facit säger emot mig och jag vet ej riktigt var jag tänkt fel. I texten säger de att frekvens beror på längd,massa och gravitationacceleration

Laguna Online 31984
Postad: 28 feb 2023 13:03

Du ser ut att ha accelerationen upphöjt till alfa, och därmed L upphöjt till alfa, men det ska finnas med ett beroende av trådlängden också.

destiny99 10984
Postad: 28 feb 2023 13:07
Laguna skrev:

Du ser ut att ha accelerationen upphöjt till alfa, och därmed L upphöjt till alfa, men det ska finnas med ett beroende av trådlängden också.

Vad menar du med ett beroende trådlängden ?

Laguna Online 31984
Postad: 28 feb 2023 13:10

Det står i uppgiften.

destiny99 10984
Postad: 28 feb 2023 14:16 Redigerad: 28 feb 2023 14:40
Laguna skrev:

Det står i uppgiften.

Nu har jag nya värden på exponenterna

Svara
Close