2
svar
278
visningar
Bazinga behöver inte mer hjälp
Hur beräknar man kretsens impedans?
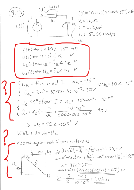
Jag ska lösa följande uppgift men har det svårt att lösa den.

Detta är lösningen

Men grejen är att jag förstår inte riktigt hur dom har tänkt.
Bazinga skrev:Men grejen är att jag förstår inte riktigt hur dom har tänkt.
De har tänkt lite med omvägar tycker jag. Lättare med .
Ja det är ju framför allt komponentvärdena som bestämmer impedansen även om strömkällan bestämmer frekvensen.