Hur beräknar man skärningspunkt mellan ett plan och en linje?
Hallå där!
På en tentamen fanns frågan: Bestäm skärningspunkten mellan xy-planet och linjen som går genom punkterna P:(2, -1, 2) och Q:(3, 5, 12)
I mitt kompendium kunde jag endast hitta exempel med skärningspunkter mellan två linjer, men inte mellan en linje och ett plan. Så jag undrar vilka metoder jag ska använda mig av för att beräkna detta?
Tips i allmänhet på vad man bör tänka på när man räknar med plan och linjer i samma problem är till stor hjälp!
Tack i förhand!
Hitta en ekvation för linjen.
I xy-planet är z = 0.
Tänk på att xy-planet betyder att z = 0.
Kan du sätta upp en ekvation i parameterform för linjen mha de angivna punkterna? För vilken punkt på linjen är z = 0?
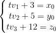
Ta fram riktningsvektorn för linjen och utgå från en av punkterna, t ex Q. Då får du linjens ekvation som:
Där . Skärningspunkten med planet uppfyller följande ekvationssystem:
.jpg?width=800&upscale=false)
Vi har fyra okända men bara tre ekvationer så vi behöver en till. Den får vi från planets ekvation. Om du har ett plan som beskrivs av får du den fjärde ekvationen som:
Eliminera från ekvationssystemet och lös för punktens komponenter , och .