1
svar
79
visningar
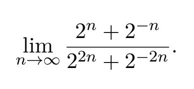
Har du testat att bryta ut den dominerande faktorn i täljaren och nämnaren
En gratistjänst från Mattecentrum
Har du testat att bryta ut den dominerande faktorn i täljaren och nämnaren