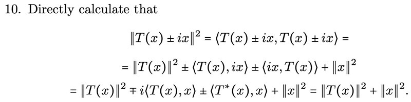
Hur blir de av med mellantermerna i sista steget?

Mellantermerna försvinner, fattar inte hur?
Eftersom normen alltid är ett reellt tal så måste även det uttryck som som så mystiskt försvinner även det vara reellt. Du kan utnyttja detta faktum för att visa att uttrycket måste vara noll.
Säg till om du behöver mer ledning.
PATENTERAMERA skrev:Eftersom normen alltid är ett reellt tal så måste även det uttryck som som så mystiskt försvinner även det vara reellt. Du kan utnyttja detta faktum för att visa att uttrycket måste vara noll.
Säg till om du behöver mer ledning.
Varför måste uttrycket vara 0?
Kalla uttrycket i mitten z.
Eftersom alla andra termer i identiteten är reella så måste även z vara reellt. Eller hur? Det betyder att z = z*.
Om du tar komplexkonjugatet av z så får du efter lite räkningar att
z* = -iz.
Således har vi att z = -iz, eller ekvivalent (1+i)z=0, vilket ger att z = 0.