Hur bör man ha tänkt på denna fråga?
mitt slutgiltiga svar är fel enligt facit och jag förstår ej varför

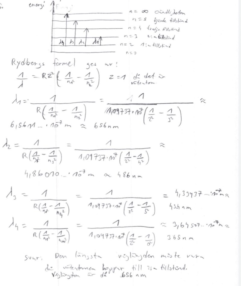
Om väteatomen absorberar strålning, kommer då n öka eller minska?
Smaragdalena skrev:Om väteatomen absorberar strålning, kommer då n öka eller minska?
n kommer minska och öka när väteatomen ger ifrån sig strålning? Är det ej så energiskillnaden minskar ju högre upp den går upp och ökar ju längre ner den deexciteras?
Nej. Absorbera betyder ta upp. Du verkar räkna med att den exciterade väteatomen skall avge energi, men så är det inte - den exciteras ännu mer.
Smaragdalena skrev:Nej. Absorbera betyder ta upp. Du verkar räkna med att den exciterade väteatomen skall avge energi, men så är det inte - den exciteras ännu mer.
Nej precis den tar upp energi och ska Exciteras. Så då ska räkna skillnad från n=3 och uppåt? Det var i alla fall det facit gjorde men fattar ej hur de menar att den minsta energiskillnaden ger längsta våglängd?
Hur hänger energin (för en foton) ihop med våglängden?
Smaragdalena skrev:Hur hänger energin (för en foton) ihop med våglängden?
När en väteatom hoppar från ett lägre tillstånd till ett högre tillstånd så tas foton upp i form av ljus som motsvarar energiskillnaden mellan nivåerna dvs H*c/lambda= delta E?
Jag frågar inte alls om väteatomen nu, bara vilket samband som gäller mellanenergi och våglngd för en foton.
Smaragdalena skrev:Jag frågar inte alls om väteatomen nu, bara vilket samband som gäller mellanenergi och våglngd för en foton.
Energi för en foton är ju E=hf =h*c/Lambda?
Mahiya99 skrev:Smaragdalena skrev:Jag frågar inte alls om väteatomen nu, bara vilket samband som gäller mellanenergi och våglngd för en foton.
Energi för en foton är ju E=hf =h*c/Lambda?
Exakt. Är det en kort eller lång våglängd som ger minst energi?
Smaragdalena skrev:Mahiya99 skrev:Smaragdalena skrev:Jag frågar inte alls om väteatomen nu, bara vilket samband som gäller mellanenergi och våglngd för en foton.
Energi för en foton är ju E=hf =h*c/Lambda?
Exakt. Är det en kort eller lång våglängd som ger minst energi?
Lång våglängd gör väl det och kort våglängd ger mer energi.
Ja. Är du med på varför facit gär som man gör i inlägg #5?
Smaragdalena skrev:Ja. Är du med på varför facit gär som man gör i inlägg #5?
Ja :)
Är det något som fortfarande är oklart om den här uppgiften?
Smaragdalena skrev:Är det något som fortfarande är oklart om den här uppgiften?
Nej faktiskt ej