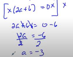
hur dela på 0x
hej
hur delar han här på x?

man kan väl inte dela x om höger ledet är noll?
Om jag läser rätt står det
och det betyder ju inget annat än att vänsterledet är noll.
Man har multiplicerat ihop x och (2a+6) och fått noll.
Om produkten av två faktorer är noll, så ...
naturnatur1 skrev:man kan väl inte dela x om höger ledet är noll?
Man delar med x, och det går bra OM x inte är noll.
Bubo skrev:naturnatur1 skrev:man kan väl inte dela x om höger ledet är noll?
Man delar med x, och det går bra OM x inte är noll.
vänta hur menar du?
Högerledet är noll. Högerledet är noll gånger x.
Men x behöver ju inte vara noll. Vi vet inte vad x är.
Den där likheten ska kanske gälla för alla x? Vad säger uppgiften?
Bubo skrev:Högerledet är noll. Högerledet är noll gånger x.
Men x behöver ju inte vara noll. Vi vet inte vad x är.
Den där likheten ska kanske gälla för alla x? Vad säger uppgiften?
Det här är uppgiften, men detta är bara en del jag nu fastna på idag igen..
Kom ihåg 0/x går utmärkt (om inte x är noll). Om du och pelle och lisa delar noll kronor så får var och en 0/3 kronor, dvs ingenting.
Vad som inte går är 3/0.
Mogens skrev:Kom ihåg 0/x går utmärkt (om inte x är noll). Om du och pelle och lisa delar noll kronor så får var och en 0/3 kronor, dvs ingenting.
Vad som inte går är 3/0.
tack, bra påminnelse av gammal baskunskap (: