4 svar
119 visningar
Forvirradshjarna behöver inte mer hjälp
Forvirradshjarna 181 – Fd. Medlem
Postad: 23 aug 2021 15:08

Hur faktorisera? Hur ska jag tänka?

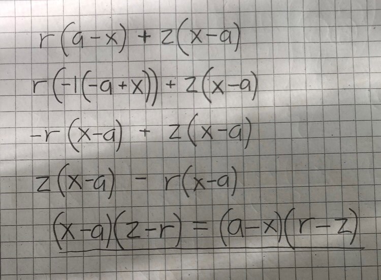
Förstår inte hyr jag ska tänka när jag ska faktorisera uttrycket i uppgift c)

Smutstvätt 23653 – Moderator
Postad: 23 aug 2021 15:10

Bryt ut -1 från (a-x)(a-x). Vilket uttryck får du? :)

Forvirradshjarna 181 – Fd. Medlem
Postad: 23 aug 2021 15:16
Smutstvätt skrev:

Bryt ut -1 från (a-x)(a-x). Vilket uttryck får du? :)

Försöker men får det inte rätt?

Forvirradshjarna 181 – Fd. Medlem
Postad: 23 aug 2021 15:29
Smutstvätt skrev:

Bryt ut -1 från (a-x)(a-x). Vilket uttryck får du? :)

Testade igen men fick tvärt om vad facit sa. Facit sa:

(a-x)(r-z), jag fick (x-a)(z-r) är dom två svaren = varnafra?

 

Fermatrix 7621 – Fd. Medlem
Postad: 23 aug 2021 16:30

Samma sak, du kan få facits svar genom att bryta ut ett minustecken i vilken faktor du vill och sedan smälla in den i den andra parantesen.

Svara
Close