Hur får jag dessa två att bli lika med varandra
hej!
Har en uppgift som jag har ett facit till, men min lärare har hoppat över några steg i facit och jag får inte till uträkningen. Uppgiften är:



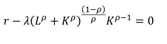
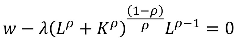
MP står endast för marginalprodukt, det man ska bevisa är att w/r = Lp-1 / Kp-1
Notera att
där X är ett långt uttryck som vi kan bortse från när vi vill uttrycka w/r, eftersom det divideras bort.
Om du skriver om w =... och r=... och sedan ställer upp w/r och förkortar, hur blir det?
Det sättet vi ska lösa det på är att sätta de bägge lika med varandra och sedan förenkla till w/r och det får jag inte till..
Det här är inte ett komplett bevis. Tråden flyttas därför till Matematik>Högskola. /moderator
Om du menar att du ska sätta w=r, så kan du förstås inte få till det. Men du kan sätta w= och likadant med r. Sedan beräkna w/r.
HT-Borås skrev :Om du menar att du ska sätta w=r, så kan du förstås inte få till det. Men du kan sätta w= och likadant med r. Sedan beräkna w/r.
Tack!!