Hur får jag fram perioden
Hej, jag har fastnat på en uppgift där man ska ta fram amplituden och perioden av sin² v.
https://gamla.pluggakuten.se/forumserver/viewtopic.php?id=88967
Bestäm amplitud och period till funktionen f (x) = sin2x.
De har beskrivit lite hur man räknar. De skriver att man får fram amplituden genom (y max- y min)/2. De skrev även att det största värdet är 1 och det minsta 0, vilket jag antar beror på att sin v är upphöjt till två.
Men jag förstår inte hur jag ska få fram perioden. I ett av svaren skriver en person att man ska räkna graderna mellan den första minsta punkt och den andra vilket ger dig perioden 180. Däremot är detta en uppgift utan miniräknare som jag har uppfattat det. Så hur ska jag räkna grader om jag inte får rita upp funktionen?
Gör som det står i den länkade trådens sista svar,nämligen att skriva om som
Kommer du vidare då?
Yngve skrev:Gör som det står i den länkade trådens sista svar,nämligen att skriva om som
Kommer du vidare då?
Jag valde att inte använda den formeln eftersom jag inte förstod hur de fick fram den. Jag fastnar efter Sin² x =1- Cos ²x . Hur har fick de fram den?
Hejsan266 skrev:
Jag valde att inte använda den formeln eftersom jag inte förstod hur de fick fram den. Jag fastnar efter Sin² x =1- Cos ²x . Hur har fick de fram den?
En standardformel som kallas "Trigonometriska ettan" lyder sin2(x)+cos2(x) = 1.
Utgå från den och subtrahera cos2(x) från båda sidor.
Yngve skrev:Hejsan266 skrev:Jag valde att inte använda den formeln eftersom jag inte förstod hur de fick fram den. Jag fastnar efter Sin² x =1- Cos ²x . Hur har fick de fram den?
En standardformel som kallas "Trigonometriska ettan" lyder sin2(x)+cos2(x) = 1.
Utgå från den och subtrahera cos2(x) från båda sidor.
Jo, så långt kom jag också. Men hur fick de fram (1−cos(2x))/2?
Använd en formel för dubbla vinkeln cosinus.
Nu är jag nog riktigt trög men hur får jag fram dubbla vinkeln? Just nu har jag sin²x= 1- cos²x.
Du vill skriva om som
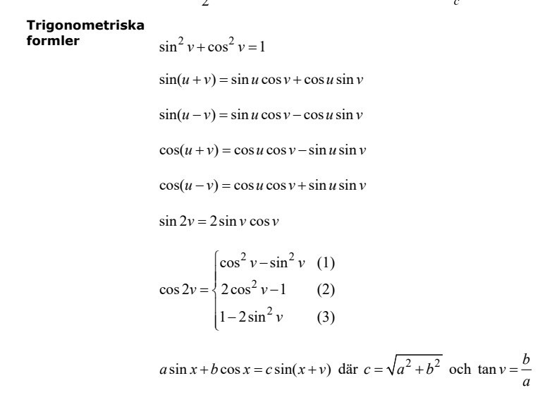
Titta i ditt formelblad för Matematik 4 (ladda ner och skriv ut om du inte har ett utskrivet exemplar).
En bit ner hittar du dessa trigonometriska formler:

Ser du någon som verkar passa in?
Nej, jag vet fortfarande inte. Jag försökte kolla i formelbladet men där så är den närmaste 2cos²x-1 tror jag.
Ser du någon formel som innehåller både cos(2v) och sin2(v)?
Yngve skrev:Ser du någon formel som innehåller både cos(2v) och sin2(v)?
Jag tror jag kom på det. Nr3. Om jag adderar 2sin^x till vänsterledet och subtraherar cos2v till högerledet får jag 2sin^x=1-cos2x. Sedan ska allt delas på 2 och då får jag fram det jag vill ha.
Ja, det stämmer.
Fast jag hoppas att du menar att du ska addera 2sin2(x) till båda ssidoroch att du ska subtrahera cis(2x) från båda sidor.
Det är bra att bli vän med sin formelsamling.
