Hur får man de här värdena?


Har försökt räkna det här, men kommer inte till de siffrorna.
Hej Päivi.
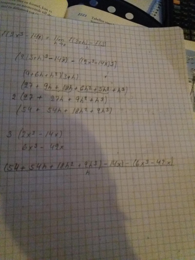
Du har satt upp differenskvoten fel (se till exempel blå markeringar). Detta beror på att du tar för många steg i taget och att du försöker sätta upp kvoten på en gång från huvudet utan stldanteckningar.
Gör istället som jag har tipsat om flera gånger tidigare:
- Börja med att skriva ner ett uttryck för f(3).
- Skriv sedan ner ett uttryck för f(3+h).
- Plocka sedan in dessa uttryck på rätt ställe i differenskvoten
-----------------
Sedan förstår jag inte vad det står till vänster om likhetstecknet på översta raden, men det är iallafall inte lika med det som står till höger (röd markering).

Ibland har du bra bilder här. Dina bilder i den här tråden är mörka och svårlästa.
Försök lägga in bra bilder. Ibland struntar jag i trådar bara för att de är svårlästa.
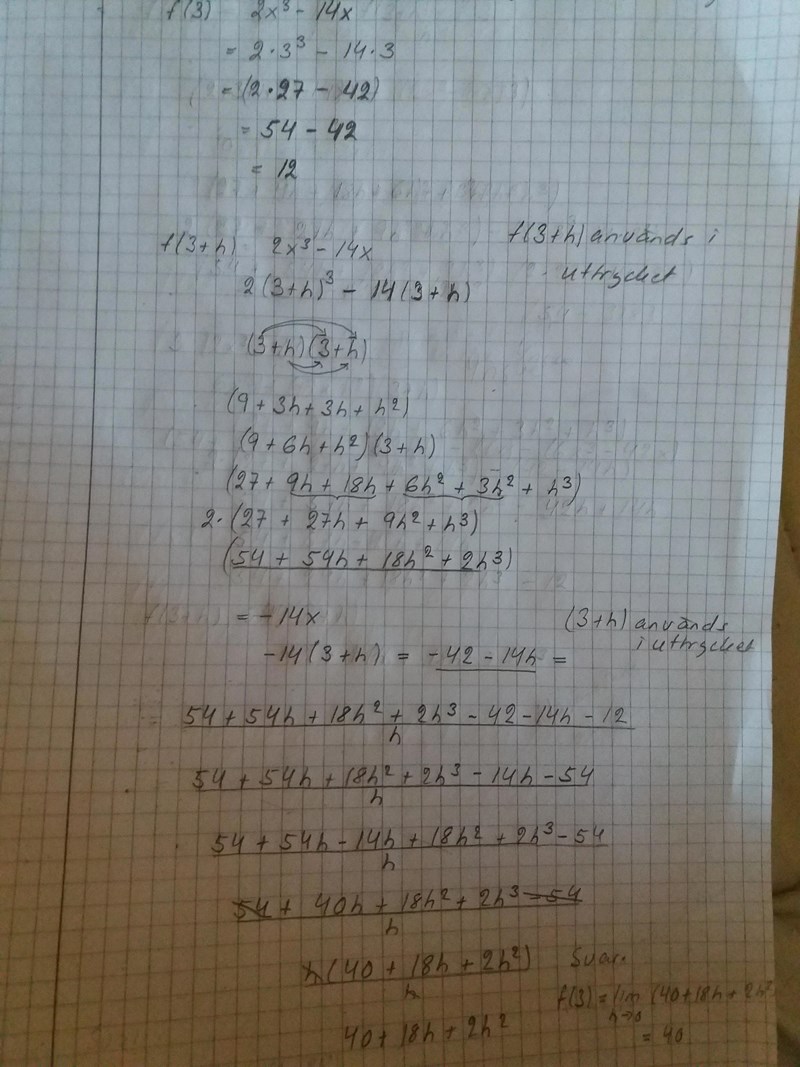
Lättläst bild, och rätt resultat. Bra.
Det är lite svårt att hänga med på vad du menar, när du räknar på olika delar av uttrycket utan att tala om vilka delar du räknar på.
Du går från (3+h)^3 till (3+h)^3 - 14(3+h) och vidare till ( (3^3 - 14*3) - ((3+h)^3 - 14(3+h)) ) / h
utan att tydligt tala om vad du gör.
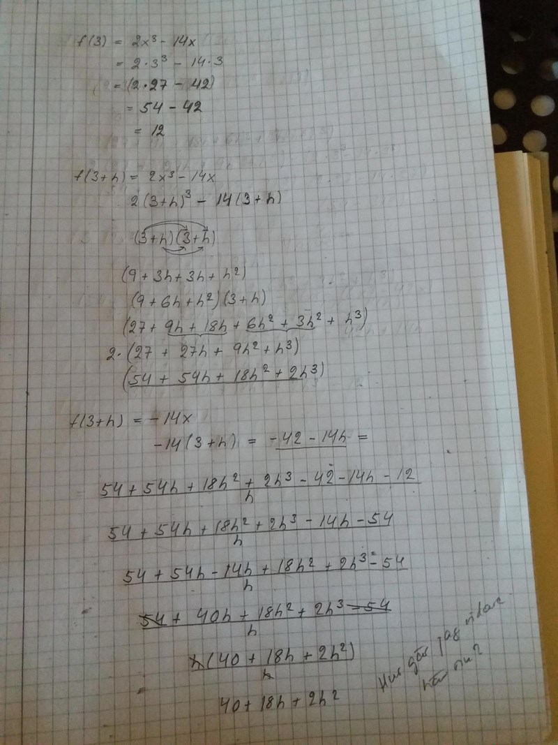
Ett slarvfel på tredje bråket nerifrån: Det saknas ett -54 i täljaren, men i nästa bråk är det med igen.
Du är ju klar. Du har räknat ut lutningen för linjen mellan två punkter.
Jag gör som Stokastisk och ställer en kontrollfråga:
- Vilka är de två punkterna?
Jag är osäker på det här.
Är det 18 h och 2h^2?
Jag ser nu att du har slarvat en hel del med likhetstecken i dina beräkningar, och satt likhetstecken mellan uttryck som inte är lika:

Päivi skrev :Jag är osäker på det här.
Är det 18 h och 2h^2?
Rita en enkel figur om du är det minsta osäker.
En punkt har i detta sammanhang två koordinater Päivi. Varje punkt har en x-koordinat och en y-koordinat.
Differenskvoten som du har satt upp beskriver lutningen på den linje som går genom dessa två punkter, vi kan kalla dem och .
För : Vad är x-koordinaten och vad är y-koordinaten?
För : Vad är x-koordinaten och vad är y-koordinaten?
-------------------------
Tips: Du har beräknat f(3) och f(3+h). Vilka x-värden och vilka y-värden har du då använt/tagit fram?
Det här klarar jag inte av
Päivi skrev :Det här klarar jag inte av
Vad klarar du inte av?
Att fortsätta med ursprungsuppgiften eller att besvara Bubos kontrollfråga?
Yngve skrev :Päivi skrev :Det här klarar jag inte av
... fortsätta med ursprungsuppgiften ...
Om h är 0.01 så är 40 + 18h + 2h^2 lika med
40 + 0.18 + 0.0002
Eller hur? Kontrollräkna.
...och så jämför du med den där tabellen...
Jag har skrivit nu exakt, hur man ska göra. Jag måste veta det själv vad jag gör.
Kontroll fråga kan jag inte svara på. Min sambo klarade av knuffa mig framåt åt rätt riktning hela tiden. Han visste vad jag kunde och tog mig fast på rätt ställe.
Päivi skrev :Jag har skrivit nu exakt, hur man ska göra. Jag måste veta det själv vad jag gör.
Kontroll fråga kan jag inte svara på. Min sambo klarade av knuffa mig framåt åt rätt riktning hela tiden. Han visste vad jag kunde och tog mig fast på rätt ställe.
De två punkterna som Bubo frågade efter i sin kontrollfråga är (3, f(3)) och (3+h, f(3+h)). Vad är det som är så svårt med att svara på den frågan? Om vi kan komma på svaret på den sista fråga, tror jag att mycket kommer att trilla på plats för dig, Päivi.
Jag tänkte på andra värden. Jag började rita en funktion själv och började på det här viset. När jag hade räknar fram lutningen och fick massa värden blev jag fundersam.
Päivi skrev :Jag tänkte på andra värden. Jag började rita en funktion själv och började på det här viset. När jag hade räknar fram lutningen och fick massa värden blev jag fundersam.
Varför gjorde du det?
Man vet inte, hur det ska vara och då blir det så.
Läs igenom vad vi frågar om, så behöver du inte gissa.



