hur får man detta?
Sitter med en uppgift inom bestämda integraler (heter detta iaf på norska)
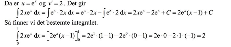
Så jag har kommit så långt att jag bara ska förenkla i slutet men förstår inte hur dom får detta svaret
För två dagar sedan skapade du denna tråd
Jag håller med dig. De byter tecken i sista likheten. Det borde vara:
Hur lyder den ursprungliga uppgiften?
Hade helt glömt det Stokastisk
Men får inte det logiskt ändå..

här har du tomast80, såg jag hade skrivit fel. Ber om ursäkt för det
Klarafardiga skrev :Hade helt glömt det Stokastisk
Men får inte det logiskt ändå..
här har du tomast80, såg jag hade skrivit fel. Ber om ursäkt för det
Vilken del är det du inte förstår?
Om jag behöver att göra den sista uträkningen? För fortsättning i uppgiften är att finna de bestämda integralerna
och det har dom löst:

Det hade fungerat lika bra om du hade satt in istället.
Klarafardiga skrev :Om jag behöver att göra den sista uträkningen? För fortsättning i uppgiften är att finna de bestämda integralerna
och det har dom löst:
Räkna på båda sätten och övertyga dig om att du får samma resultat i båda fallen, så ser du att det steget egentligen inte var nödvändigt.
Självklart ska jag detta Yngve!
Men jag har en fråga till som inte har med uppgiften att göra, men Partiell integration.
I boken står det bara finn de bestemte integralen. Men vad är det för information jag får ut av detta?
Klarafardiga skrev :Självklart ska jag detta Yngve!
Men jag har en fråga till som inte har med uppgiften att göra, men Partiell integration.
I boken står det bara finn de bestemte integralen. Men vad är det för information jag får ut av detta?
Jag förstår inte din fråga. Undrar du vilken information du får ut av att finna den bestämda integralen? Eller undrar du vad partiell integration är och vad det används till?
Men jag blir lite förvirrad över varför man gör det och inte interagerar som vanligt och vad resultatet ger mig.
Och hur vet jag att det är denna metod som ska användas?
Klarafardiga skrev :Men jag blir lite förvirrad över varför man gör det och inte interagerar som vanligt och vad resultatet ger mig.
Och hur vet jag att det är denna metod som ska användas?
Man gör det om man tycker att den ursprungliga integralen är för krånglig och om man tror att man kan få fram en enklare integral på det här sättet.
Man får precis samma resultat som om man hade integrerat på vanligt sätt (om det hade varit möjligt).
Tack alla!
Ska testa imorgon!