2 svar
159 visningar
nilson99 behöver inte mer hjälp
nilson99 258 – Avstängd
Postad: 26 mar 2019 17:56

Hur förändrar en konstant en andragradsfunktion?

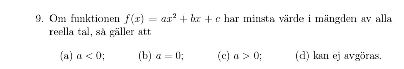
svar c)

Förstår varför det inte är b), men hur kommer det sig att vi får minimipunkt när a>0 och att vi får maximipunkt när a<0? Undrar också hur man säkert ska veta att svaret är c) då det kanske hade varit d).

Yngve 42666
Postad: 26 mar 2019 18:04 Redigerad: 26 mar 2019 18:11
nilson99 skrev:

svar c)

Förstår varför det inte är b), men hur kommer det sig att vi får minimipunkt när a>0 och att vi får maximipunkt när a<0? Undrar också hur man säkert ska veta att svaret är c) då det kanske hade varit d).

Rita y=x2y=x^2 (dvs a=1, b=c=0) och y=-x2y=-x^2 (dvs a=-1, b=c=0) så ser du följande:

  • Om a > 0 så liknar parabeln en "glad mun" (minnesregel: Positiv = Glad). Parabeln har då en minimipunkt.
  • Om a < 0 så liknar parabeln en "ledsen mun" (minnesregel: Negativ = Ledsen). Parabeln har då en maximipunkt.
Albiki 5096 – Fd. Medlem
Postad: 26 mar 2019 19:31 Redigerad: 26 mar 2019 19:32

Med kvadratkomplettering  kan funktionen skrivas 

    f(x)=a(x+b2a)2+c-a(b2a)2.f(x) = a(x+\frac{b}{2a})^2 + c-a(\frac{b}{2a})^2.

  • Om a>0a > 0 så är a(x+b2a)2a(x+\frac{b}{2a})^2 ett positivt tal varför f(x)c-a(b2a)2f(x) \geq c-a(\frac{b}{2a})^2 och olikheten blir en likhet precis då x=-b/(2a)x = -b/(2a).
  • Om a<0a<0 så är a(x+b2a)2a(x+\frac{b}{2a})^2 ett negativt tal varför f(x)c-a(b2a)2f(x) \leq c-a(\frac{b}{2a})^2 och olikheten blir en likhet precis då x=-b/(2a)x=-b/(2a).
  • Om a=0a = 0 så behöver man inte kvadratkomplettera (då skulle man dividerat med noll!) eftersom då är f(x)=bx+cf(x) = bx+c och funktionen saknar minsta värde och saknar största värde (förutsatt att -<x<-\infty<x<\infty).
Svara
Close