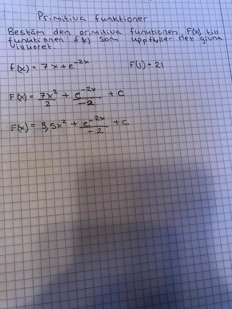
Hur fortsätter jag härifrån har fastnat på hur jag gör med (e^-2x)/(-2)?

Nu skall du använda F(1)=21 för att bestämma C
Men hur ska man räkna ut c när man har e-^2x/-2?
moonlighttt skrev:Men hur ska man räkna ut c när man har e-^2x/-2?
Du vet att F(1)=21 så sätt in F(1)=21 och x=1 i uttrycket för F(x) och räkna fram C.
Om du behöver mer hjälp, så visa hur långt du har kommit och fråga igen!
moonlighttt skrev:Men hur ska man räkna ut c när man har e-^2x/-2?
Hur mycket är ?
Så, nu kan du räkna ut c på ett ungefär om du vill eller bara använda det (lite komplicerade) exakta värdet.
Jag skulle testa det exkata värdet och sedan försöka förenkla funktionen (om det går).
Men har envärdet 1 då eller vad har e för värde? För måste väll veta det innan jag räknat ut c?
moonlighttt skrev:Men har envärdet 1 då eller vad har e för värde? För måste väll veta det innan jag räknat ut c?
är ett konstant (irrationellt) tal, på samma sätt som är det.
Om du ska räkna med exakta värden använder du helt enkelt symbolen i dina uträkningar. Du kan då uttrycka med hjälp av symbolen (på samma sätt som du kan skriva att en cirkel med radie 2 har omkretsen ).
Om du istället vill använda ett närmevärde så gäller att .
Ah okej, men nu fattar jag, tack för hjälpen.
Kan detta stämma? 
Ja, förutom att likhetstecknet på näst sista raden ska ersättas av eftersom 17,56766764 är ett närmevärde.
Just det, tack