Hur går jag vidare efter att ha hittat skärningspunkter?
Hej! Ni är toppen på pluggakuten och brukar vara till god hjälp. Nu sitter jag här med ett trött huvud och vet inte hur jag ska gå vidare efter att ha hittat skärningspunkterna. Jag förstår att jag behöver rita upp kurvorna, men kan inte komma på hur (även om jag säkerligen gjort det tidigare och det borde sitta), kan någon hjälpa mig?
Uppgiften:
Beräkna arean av det område som begränsas av kurvorna y = 6 − x2 och y = x2 − 2x + 2.
Har kommit fram till x1=2 och x2=-1
Hur ritar jag upp kurvorna?
Använd rutat papper. Börja med y=6-x2 (är det x upphöjt till 2 ?)
Hitta på olika värden på x (som 0 1 2 3 4 -1 -2 -3 etc)
och räkna ut vilket y-värde som då blir. Pricka in det på det rutade papperet.
x=0 --> y=6
x=1 --> y=5
x=2 --> y=2
osv...
Tack! Kom på det och kom vidare, har dock fastnat igen, har nu kommit till:
(6-x2 - (x2 -2x+2)dx
(4-2x-2x2)dx = [ 4x+x2-2x3/3]2-1
Sedan kommer jag inte vidare längre än till (8+4.......??????
i första ekv när du tar bort parenteserna blir det +2x
Såg detta nu. Gör jag rätt om jag får:
(4-2x2+2x)dx = [4x-x2+2] ?
Fast nej någonting blir fel, vart gör jag fel? Med ovanstående ekvation blir svaret 7, vilket är fel, det ska bli 9....
4 ---> 4x (rätt)
2x^2 ---> (2/3)x^3
2x ---> x^2
Svaret ska vara 9 enligt wolframalpha så förstår inte vad jag gör tokigt...
Du har integrerat fel, rad 2 på din bild, inom klamrarna
ska bli 4x + (2/3)x^3 + x^2
Nu är jag lite lost, varför blir det (2/3)x3???
Jo, nu tror jag att jag är med, detta är ju mer eller mindre grunderna. När någonting är upphöjt till något så delar man... sorry för seg skalle. Ska se om jag löser det nu!
Omvänt
Helt sant, borde jag klurat ut. Hur går jag vidare? Hur förenklar jag ett sådant här bråk?
Ledsen, kanske är jätte simpelt, men jag vill verkligen förstå allt, läser på distans och är inte något mattesnille direkt...
Om jag sätter in 2 i ekvationen 2x3/3 blir ju det 43/3 vilket är 21.3, vilket inte kan stämma...
sophiasophia skrev:
Du får backa lite, för det blev väl teckenfel här på rad två
4 - 2x^2+2x ska det väl bli
Det stämmer, nu blev det lite för många teckenbyten fram och tillbaka, det är såhär man lär sig att vara noga från start ;D
Ok, men oavsett landar jag med 2/3x3, hur förenklar jag det på bästa sätt?
Låt det vara som det är, det ordnar sig senare
integrera 4 - 2x^2+2x
det blir 4x - x^3 + x^2
sedan
därefter
Håll reda på alla minus och parentesen nu så blir det 9
Har fortfarande problem med 2/3 · 23... hänger inte med på den
Gör inget åt den nu. Den kommer tillsammans med bråket i andra parentesen att bli minus 18/3 (=-6)
Bråket i vänstra parentesen blir minus 16/3
Bråket i högra parentesen blir (när parentesen som har minus framför sig tas bort) minus 2/3
Tillsammans minus 18/3 = -6
Så jag ska göra om allt i parenteserna till bråk?
sophiasophia skrev:Så jag ska göra om allt i parenteserna till bråk?
Nej
Då är jag inte med...
sophiasophia skrev:Då är jag inte med...
Vänstra parentesen blir
( 8 - 16/3 + 4 )
Vad blir högra parentesen ?
Nu känner jag mig dum, så självklart. Höger parentes blir ju aningen svårare, får det till (-4-(2·-1)3/3+(-1), är jag på rätt väg?
Måste göra något fel i högra parentesen, eller så har jag helt tappat reglerna vid parenteserna, får detta:
(8-16/3+4) - (-4-(-8)/3+(-1) ...
sophiasophia skrev:Nu känner jag mig dum, så självklart. Höger parentes blir ju aningen svårare, får det till (-4-(2·-1)3/3+(-1), är jag på rätt väg?
inte -(2*-1)^3/3 utan -2/3 * (-1)^3
på tredje termen har du glömt ^2
Jag har löst det!
(8-16/3)-(-4-(-8)73+(-1))
(12-16/3)-(-5-(-8)/3) = 17-24/3=9...
sophiasophia skrev:Jag har löst det!
(8-16/3)-(-4-(-8)73+(-1))
(12-16/3)-(-5-(-8)/3) = 17-24/3=9...
Men det ser konstigt ut
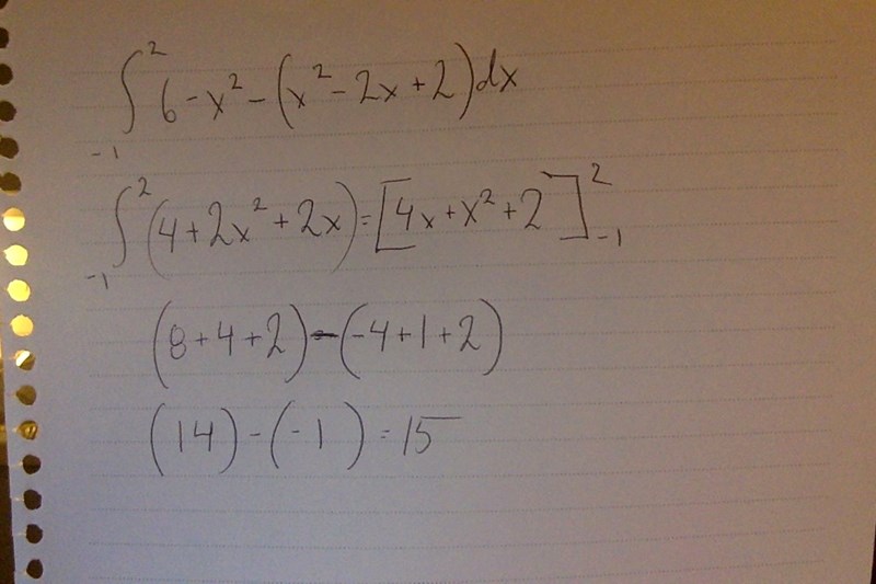
Vänstra parentesen är inte som du skriver (8-16/3)
och i högerparentesen: var kom (-8)/3 ifrån och -1 gånger -1 blir 1
Så här ska det vara
Slog ihop 8+4 som var i parentesen?
sophiasophia skrev:
Det är inte rätt, fast det råkar bli 9 på slutet.
Hur kan det bli i högerparentesen ? och -1^2 blir ju 1
Titta på min lösning lite högre upp i textmassan
(och så ska det vara "areaenheter mellan kurvorna")
Hmm... ja jag ser ju att din uträkning är något smidigare. Kolla på min så ser du dock att den också funkar. -8/3 kom från 2•(-1)^3 2•(-1)=-2och -2^3=-8... är det fel?
Ja precis, slog ihop 8an med 4an som var i (8-2/3x^3+4)... har jag gjort helt tokigt? Hur kan det då bli rätt svar? Kanske att jag gör rätt men lite väl komplicerat?😯🧐
sophiasophia skrev:Hmm... ja jag ser ju att din uträkning är något smidigare. Kolla på min så ser du dock att den också funkar. -8/3 kom från 2•(-1)^3 2•(-1)=-2och -2^3=-8... är det fel?
Ja det är fel
2:an ska inte upphöjas med 3
det står
och det är bara x (som är -1) som ska upphöjas med 3
Okej, men, i vänstra parentesen gjorde vi ju så? 2/3•2^3, tänkte att det var samma för den andra... måste ha missuppfattat någonting. Det är det där bråket som gör mig förvirrad.
sophiasophia skrev:Okej, men, i vänstra parentesen gjorde vi ju så? 2/3•2^3, tänkte att det var samma för den andra... måste ha missuppfattat någonting. Det är det där bråket som gör mig förvirrad.
I vänstra parentesen är x=2 i högra parentesen är x= -1
P.S, ser att din uträkning så klart är mycket bättre. Men kan ändå inte sluta förundras över den härliga soppan jag själv lyckades få till, med rätt svar dessutom. Ibland önskar jag att jag hade kunnat spola tillbaka tiden och gått om gymnasiet och faktiskt varit mer närvarande på lektionerna. Det är svårt att komma ihåg alla regler efter 6 år utan matteräkning.
Super stort tack för din hjälp. Tror inte du, eller alla, här på pluggakuten förstår hur tacksam jag är att ni finns. Guld värda är ni!
Min är fel, ser det nu. Tänka sig att svaret ändå blev rätt, haha. Hjärnan är bra på att luras när man vill sova! ;D
sophiasophia skrev:P.S, ser att din uträkning så klart är mycket bättre. Men kan ändå inte sluta förundras över den härliga soppan jag själv lyckades få till, med rätt svar dessutom. Ibland önskar jag att jag hade kunnat spola tillbaka tiden och gått om gymnasiet och faktiskt varit mer närvarande på lektionerna. Det är svårt att komma ihåg alla regler efter 6 år utan matteräkning.
Super stort tack för din hjälp. Tror inte du, eller alla, här på pluggakuten förstår hur tacksam jag är att ni finns. Guld värda är ni!
Det är inte så lätt att räkna klockan 2 på natten. Och att din uträkning gav rätt svar = 9. Ja, din uträkning måste ju ge något svar och det råkade vara 9. Ibland händer det....

