7 svar
175 visningar

Hur gaussar jag den här?

Antar att jag ska gaussa den här, men hur?

Laguna Online 31739
Postad: 26 nov 2020 13:05

Subtrahera första ekvationen från den andra skulle jag börja med.

Laguna skrev:

Subtrahera första ekvationen från den andra skulle jag börja med.

Det blir inget bra, har redan testat

Laguna Online 31739
Postad: 26 nov 2020 13:11

Hur blir det då?

Laguna skrev:

Hur blir det då?

1113a01a+1-2a1-a-1-10

dr_lund 1177 – Fd. Medlem
Postad: 26 nov 2020 14:28

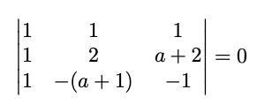
Eftersom systemet är kvadratiskt, skulle jag börja med determinant. Ekvationen

det(A)=0, dvs

ger mig villkor för oändligt många lösningar/ingen lösning.

Laguna Online 31739
Postad: 26 nov 2020 14:36
Dualitetsförhållandet skrev:
Laguna skrev:

Hur blir det då?

1113a01a+1-2a1-a-1-10

Subtrahera första från tredje ser intressant ut att göra nu.

Bedinsis Online 3316
Postad: 26 nov 2020 14:38
Dualitetsförhållandet skrev:
Laguna skrev:

Hur blir det då?

1113a01a+1-2a1-a-1-10

Bra början. Nästa steg är då att subtrahera rad 3 med rad 1 så att faktorn framför x i rad 3 också blir noll.

Steget därefter är att subtrahera den nya rad 3 med rad 2 gånger en faktor som gör att faktorn framför y blir 0. Eftersom att det okända talet a ingår i faktorn framför y kommer du bli tvungen att ta till parenteser och annat.

Sedan kommer du ha en tredje rad där det står [konstant uttryck 1]*z= [konstant uttryck 2]. Beroende på vilka a-värden man har kan systemet ha en, ingen eller flera lösningar.

Svara
Close