Hur gjorde man nu igen ?.




Jag har försökt men jag kör fast och vet inte hur jag ska börja. vad är prio ett ?.
Följ punkt 2 i dina instruktioner, d v s gör en polynomdivision. Vet du hur man använder liggande stolen?
Smaragdalena skrev:Följ punkt 2 i dina instruktioner, d v s gör en polynomdivision. Vet du hur man använder liggande stolen?
Det var ett tag sedan så jag kommer inte ihåg det faktiskt
Den här uppgiften handlar om att förstå (och eventuellt komplettera) en annan persons lösning och att koppla de olika momenten i just den lösningen till metodbeskrivningarna 1, 2, 3 och 4.
Du behöver alltså varken gissa rötter, utföra polynomdivision eller faktorisera något själv.
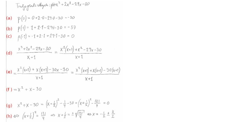
Vi tar t.ex. moment (a) i lösningen. Är det ett exempel på 1, 2, 3 eller 4?
Fortsätt så med övriga moment (b) - (i) i lösningen.
Yngve skrev:Den här uppgiften handlar om att förstå (och eventuellt komplettera) en annan persons lösning och att koppla de olika momenten i just den lösningen till metodbeskrivningarna 1, 2, 3 och 4.
Du behöver alltså varken gissa rötter, utföra polynomdivision eller faktorisera något själv.
Vi tar t.ex. moment (a) i lösningen. Är det ett exempel på 1, 2, 3 eller 4?
Fortsätt så med övriga moment (b) - (i) i lösningen.
borde det inte vara 1 på a ?.
Yngve skrev:Den här uppgiften handlar om att förstå (och eventuellt komplettera) en annan persons lösning och att koppla de olika momenten i just den lösningen till metodbeskrivningarna 1, 2, 3 och 4.
Du behöver alltså varken gissa rötter, utföra polynomdivision eller faktorisera något själv.
Vi tar t.ex. moment (a) i lösningen. Är det ett exempel på 1, 2, 3 eller 4?
Fortsätt så med övriga moment (b) - (i) i lösningen.
Såhär gjorde jag,lite osäker på vissa svar men vill höra vad ni har att säga
Jag tror det är rätt i alla fall
Mvh zined10
Nej, du har skrivit att man gör steg 3 innan steg 2.
Jag tycker att den här uppgiften är riktigt usel.
- Moment (a), (b) och (c) är exempel på att gissa lösningar, dvs metod 1.
- Moment (d) och (e) är omskrivningar för att stegvis faktorisera ett tredjegradspolynomet, vilket helt saknas i metodbeskrivningen.
- Moment (f) är inte exempel på metod 2, utan resultatet av en polynomdivision.
- Moment (g) är exempel på kvadratkomplettering, dvs metod 3.
- Moment (h) är exempel på framtagande av nollställen, vilket helt saknas i metodbeskrivningen.
- Moment (i) är exempel på omskrivning i faktoriserad form, dvs metod 4.