2
svar
58
visningar
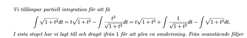
Hur gör de omskrivningen

Fattar första omskrivningen, men inte från första omskrivningen till den andra. Hur gör de där?
Jag tror att de har skrivit om integraluttrycket till:
Sätt in detta uttryck istället för integraluttrycket i led två, och du har led tre. :)