4
svar
58
visningar
R.zz behöver inte mer hjälp
Hur gör jag här
Hej!
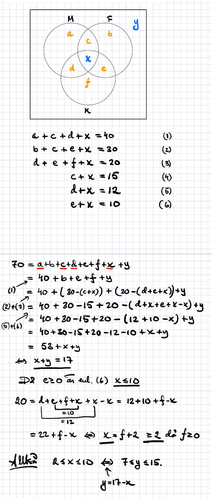
jag undrar hur man löser denna fråga

jag hade då vanligtvis räknat
70= 40+30+20-15-12-10+x+y
Och detta går inte att lösa för det är flera okända variabel så hur gör jag nu?
Det ska inte finnas en entydig lösning. Frågan ber efter ett samband, vilket innebär att svaret ska vara typ,
ligger mellan två tal. Det kanske även finns några krav på hur stora/små och kan vara.
Facit skriver 
fast jag förstår fortfarande inte hur kommer man fram till detta
Rita ett Venn-diagram och se hur många du kan placera i varje del, som mest och som minst.
Finns säkert en bättre lösning.