0
svar
153
visningar
Hur gör man


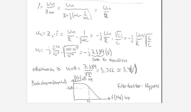
Så min fråga är ska jag ta Uc = 7,58 volt eller ska jag ta Uceff = 5,4 volt för att få fram decibel värdet på bodediagrammet Det är väl uc jag sätter in i formeln Uc/Uin ?