1
svar
74
visningar
Hur gör man den här gaussen?

Hur?
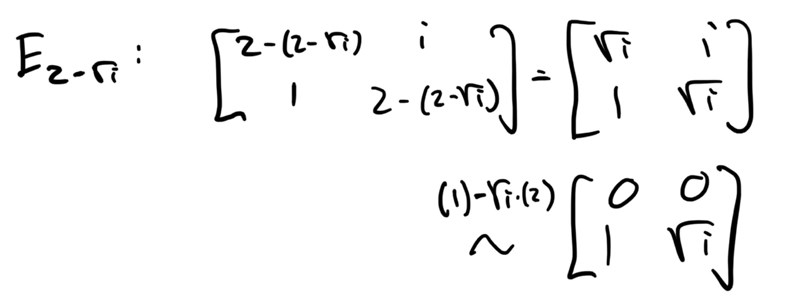
Multiplicera rad 2 med rot(i) och subtrahera från rad 1.
En gratistjänst från Mattecentrum

Hur?
Multiplicera rad 2 med rot(i) och subtrahera från rad 1.