5
svar
403
visningar
M (a) * x behöver inte mer hjälp
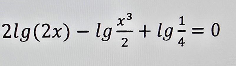
Hur gör man här? Log med div

Stämmer följande?
lg4x^2 - Lg(x^3) - lg(2) + lg1 -lg4 =0
lg4x^2 - Lg(x^3) - lg(2) -lg3 =0
Den första raden stämmer, men du kan inte förkorta till lg(3). Tänk på att värdet från början var lg(1/4). :)
Tillägg: 11 dec 2024 14:45
Med det sagt, det är nog bättre att skriva ihop så många log-termer som möjligt, så att du kan göra dig av med logaritmeringen. :)
OBS: Det saknas en parentes redan på första raden.
lg(4x^2) - ( Lg(x^3) - lg(2) ) + lg1 -lg4 =0
så det blir +lg(2) i mellersta termen
lg 1 = 0
lg 4 = lg 2² = 2 lg 2
Alltså har man lg1 så kan den tas bort då det egentligen är 0?
Det stämmer. Log(1) är lika med noll. :)