4 svar
124 visningar
Maremare behöver inte mer hjälp
Maremare 1044 – Fd. Medlem
Postad: 4 mar 2020 10:26

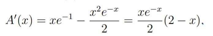
hur görs denna omskrivning/förenkling

Förstår inte hur denna omskrivning är gjord, är det något man ska se direkt eller vad missar jag?

tack snälla för hjälpen!

Yngve 42547
Postad: 4 mar 2020 10:33 Redigerad: 4 mar 2020 10:40

Du har rätt, omskrivningen stämmer inte.

Men om första termen är xe-xxe^{-x} istället för xe-1xe^{-1} så stämmer det.

Maremare 1044 – Fd. Medlem
Postad: 4 mar 2020 10:42
Yngve skrev:

Du har rätt, omskrivningen stämmer inte.

Men om första termen är xe-xxe^{-x} istället för xe-1xe^{-1} så stämmer det.

okej hur stämmer den då för jag märkte inte ens att det var felskrivet där

Yngve 42547
Postad: 4 mar 2020 10:50 Redigerad: 4 mar 2020 11:18
Maremare skrev:

okej hur stämmer den då för jag märkte inte ens att det var felskrivet där

Faktorisera genom att bryta ut xe-x2\frac{xe^{-x}}{2}.

Om du tycker det är krångligt kan du bryta ut en faktor i taget:

xe-x-x2e-x2=xe^{-x}-\frac{x^2e^{-x}}{2}=

(bryt ut xx)

=x(e-x-xe-x2)==x(e^{-x}-\frac{xe^{-x}}{2})=

(bryt ut e-xe^{-x})

=xe-x(1-x2)==xe^{-x}(1-\frac{x}{2})=

(bryt ut 1/2)

=xe-x2(2-x)=\frac{xe^{-x}}{2}(2-x)

Ordningen spelar ingen roll, du kan börja med vilken faktor du vill.

Maremare 1044 – Fd. Medlem
Postad: 4 mar 2020 13:49
Yngve skrev:
Maremare skrev:

okej hur stämmer den då för jag märkte inte ens att det var felskrivet där

Faktorisera genom att bryta ut xe-x2\frac{xe^{-x}}{2}.

Om du tycker det är krångligt kan du bryta ut en faktor i taget:

xe-x-x2e-x2=xe^{-x}-\frac{x^2e^{-x}}{2}=

(bryt ut xx)

=x(e-x-xe-x2)==x(e^{-x}-\frac{xe^{-x}}{2})=

(bryt ut e-xe^{-x})

=xe-x(1-x2)==xe^{-x}(1-\frac{x}{2})=

(bryt ut 1/2)

=xe-x2(2-x)=\frac{xe^{-x}}{2}(2-x)

Ordningen spelar ingen roll, du kan börja med vilken faktor du vill.

yes okej jag är med, tusen tack!

Svara
Close