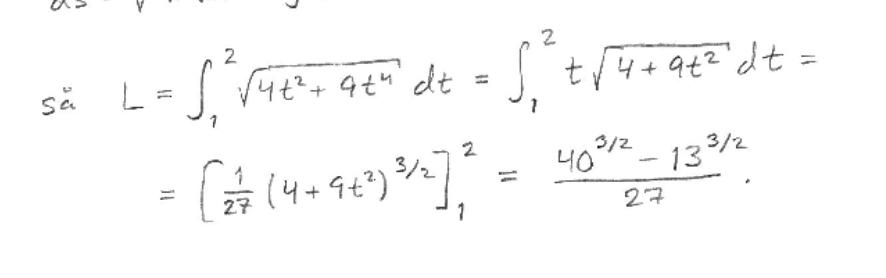
Hur har denna integral beräknats?

Hej,
Hur man fått fram denna primitiv? är det genom partiell integration?
Lösaren såg att t framför roten i steg 2, sånär som på en faktor är derivata av det som står under rotteckbet.
Hänger nog inte riktigt med på vad du menar?
Lösaren såg att vi hade roten ur ett uttryck, vilket innebär att vi antagligen skulle få primitiven till roten ur i slutändan.
Lösaren såg att t2 fanns innanför roten, vilket om man tar regeln för inre/yttre derivata gör att vi kommer få 2*t utanför primitiven till roten ur om man antar att t2 kommer befinna sig innanför primitiven till roten ur.
Av en händelse fanns det en faktor som innehöll t, bara t, utanför rottecknet, vilket gjorde att man kunde formulera t*(4+9*t2)0,5 som resultatet av deriverandet av ett (relativt) enkelt uttryck där t:et utanför faktorn som vi tar roten ur på kom ifrån att inre derivatan (9*2*t) kommer innehålla ett ensamt t som faktor.
Prova med att derivera lösningens primitiva funktion, så inser du nog hur det hänger ihop.