3
svar
293
visningar
Bazinga behöver inte mer hjälp
Hur har jag tänkt fel?

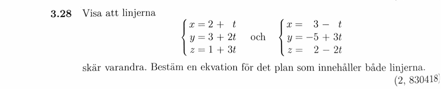
Detta är min lösning på uppgiften, men den verkar inte stämma. Jag misstänker att jag har tänkt fel någonstans.
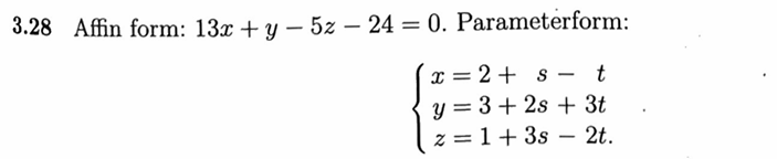
Själva facit visar följande:

Du har visat att linjerna skär sig.
Sedan är det lätt att ställa upp parameterformen för planet. Tag någon punkt i planet och addera de 2 vektorer (riktningsvekt. för de 2 linjerna) till punkten.
Jag hade verkligen uppskattat om du kunde visa det, för jag förstår inte riktigt hur jag ska göra det i slutet, som du nämner.
Bazinga skrev:Jag hade verkligen uppskattat om du kunde visa det, för jag förstår inte riktigt hur jag ska göra det i slutet, som du nämner.
