Hur härleder man det här gränsvärdet?
Det gränsvärdet stämmer inte?
Det kan visas genom att undersöka vad som händer med bråket när x går mot oändligheten. :)
oj, menade x
Sätt att 1/x = t => x = 1/t och låt gränsvärdet gå mot 0 istället.
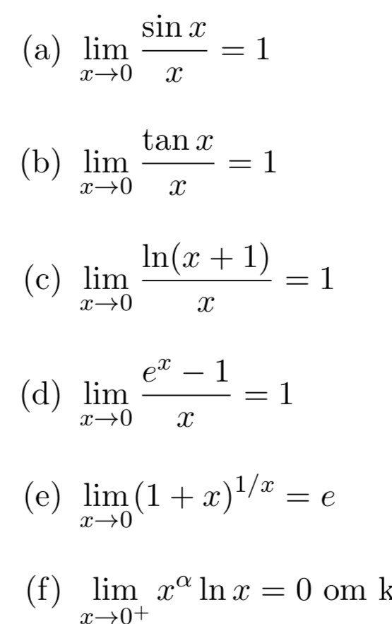
(e^t-1)/t
Tigster skrev:Sätt att 1/x = t => x = 1/t och låt gränsvärdet gå mot 0 istället.
(e^t-1)/t
Är det något standardgränsvärde eller hur vet man att det blir 1?
Nästan. Med derivatans definition, eller l'Hôpitals regel, eller taylorutvecklingen härleder man det lätt.
I min bok är det ett standardgränsvärde. Kolla vilka du har så är det enklare att veta hur det ev behöver skrivas om.
Dualitetsförhållandet skrev:Tigster skrev:Sätt att 1/x = t => x = 1/t och låt gränsvärdet gå mot 0 istället.
(e^t-1)/t
Är det något standardgränsvärde eller hur vet man att det blir 1?
Ja, (e^t - 1)/t är ett standardgränsvärde
