2
svar
56
visningar
Gustav12345 behöver inte mer hjälp
Hur hittar jag inversen på funktionen?
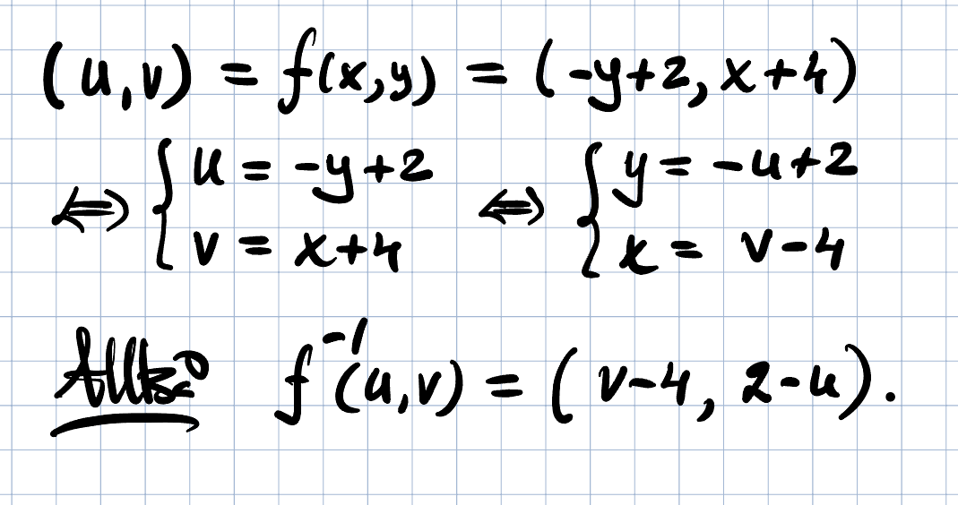
Hej, hur hittar jag inversen funktionen f((x,y))=(-y+2, x+4) ?
Typ

Okej! Tusen Tack!