Hur kan centripetalkraften i en pendel vara riktad mot centrum?
Hej!
Centripetalkraften som verkar på ett föremål är vad jag förstår alltid riktad mot centrum, som i pendeln nedan. (Föremålet är A och centrum M)

Och centripetalkraften är ju resultanten av alla andra krafter som verkar på föremålet. I detta fallet är det ju föremålets tyngdkraft (mg) och snörkraften (FS) som verkar på det, men resultanten av dem (FR) blir ju inte riktad mot centrum, i samma riktning som snöret. Ska den inte vara det? Det känns som om jag har missat något.
Ja, du har "missat" det är en accelererad rörelse och att centripetalkraften inte är resultanten av krafterna. Du har helt rätt i att resultanten inte är riktad mot centrum. Resultanten får systemet att accelerera enligt newtons 2:a sats (F=ma). Resultanten är riktad längs rörelsen (samma håll som )
Precis, kraftresultanten är inte riktad längs snöret (förutom längst ner i rörelsen). Resultanten är i alla punkter vektorsumman av snörkraft och tyngdkraft.
I pendelrörelsen är inte hastighetens belopp (d.v.s farten) konstant, så kraftresultanten pekar i regel inte mot rörelsens centrum.
Peter skrev:Resultanten är riktad längs rörelsen (samma håll som )
Inte samma håll som v. Hur skulle det då bli längst ner?
Stämmer bra Dr. G! Och inte heller åt samma håll som v men parallellt med i alla fall (utom när den är 0). är så klart motriktad vid retardationen.

Hittade följande gif på Wikipedia
EDIT: animeringen verkar inte funka, men titta i länken under simple gravity pendulum.
Tack för svaren!
Så om jag förstår er rätt, så är centripetalkraften här lika med snörkraften?
Typiskt kraftpar:
Centripetalkraften: Snöret drar i kulan
Centrifugalkraften: Kulan drar i snöret
Jag vet inte om begreppet centripetalkraft är speciellt användbart här.
Affe Jkpg skrev:Typiskt kraftpar:
Centripetalkraften: Snöret drar i kulan
Centrifugalkraften: Kulan drar i snöret
Centrifugalkraften är en pseudokraft genererad på grund av relativa inertialsystem. Det är alltså intuitivt ofördelaktigt att tala om att "Kulan drar i snöret". Fiktiva krafter som centrifugal och coriolis är relevanta om du befinner dig i det roterande koordinatsystemet.
steel8 skrev:
Så om jag förstår er rätt, så är centripetalkraften här lika med snörkraften?
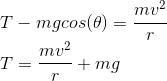
Nej. Exempelvis när snöret är vertikalt i rörelsen så får vi snörkraften T enligt:
.jpg?width=800&upscale=false)
Alltså när vinkeln är noll relativt det nedersta läget så får vi att snörkraften är summan av tyngdkraften och centripetalkraften.
Ebola skrev:Affe Jkpg skrev:Typiskt kraftpar:
Centripetalkraften: Snöret drar i kulan
Centrifugalkraften: Kulan drar i snöret
Centrifugalkraften är en pseudokraft genererad på grund av relativa inertialsystem. Det är alltså intuitivt ofördelaktigt att tala om att "Kulan drar i snöret". Fiktiva krafter som centrifugal och coriolis är relevanta om du befinner dig i det roterande koordinatsystemet.
steel8 skrev:
Så om jag förstår er rätt, så är centripetalkraften här lika med snörkraften?
Nej. Exempelvis när snöret är vertikalt i rörelsen så får vi snörkraften T enligt:
Alltså när vinkeln är noll relativt det nedersta läget så får vi att snörkraften är summan av tyngdkraften och centripetalkraften.
Aha!
Om jag förstår tankesättet rätt - så när kulan är rakt ovanför centrum, så är centripetalkraften lika med tyngdkraften, eftersom snörkraften där är obefintlig?
Följande kan vara helt fel, men stämmer det också att centripetalkraften är lika med snörkraften när kulan är positionerad horisontellt (rakt till höger/vänster om centrum), eftersom tyngdkraften i det läget varken drar mot eller från centrum? Om inte - vad består den av där i så fall? Sambandet du skrev kan ju användas när kulan är rakt under centrum, men hur lyder sambanden när kulan är på andra ställen i rörelsen?
steel8 skrev:
Om jag förstår tankesättet rätt - så när kulan är rakt ovanför centrum, så är centripetalkraften lika med tyngdkraften, eftersom snörkraften där är obefintlig?
Bara om hastigheten är den så kallade stationära pendelhastigheten, alltså om vi har och så vi får:
Följande kan vara helt fel, men stämmer det också att centripetalkraften är lika med snörkraften när kulan är positionerad horisontellt (rakt till höger/vänster om centrum), eftersom tyngdkraften i det läget varken drar mot eller från centrum?
Ja, i dessa lägen är snörkraften lika med centripetalkraften. Det är då .
men hur lyder sambanden när kulan är på andra ställen i rörelsen?
För snörkraften ser alltid sambandet ut som det jag skrev om vinkeln mäts från nedersta läget och har positiv riktning moturs.
Tack så mycket för svaren! Jag tror jag har förstått nu!