Hur kan de säga att 2^20 är kongruent med 3^40

AlexanderJansson skrev:
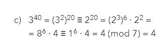
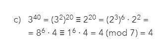
Man räknar modulo 7. Första likhetstecknet är du väl med på? Sedan använder man att 9 är kongruent med 2 modulo 7, d v s om man delar 9 med 7 får man resten 2. Vid nästa likhetstecken delar man upp exponenten 20 till 3.6+2, och sedan gör man en omskrivning av 23 till 8 (nu är vi på andra raden), och om man delar 8 med 7 får man resten 1 och då är det bara en 4 kvar.
Smaragdalena skrev:AlexanderJansson skrev:
Man räknar modulo 7. Första likhetstecknet är du väl med på? Sedan använder man att 9 är kongruent med 2 modulo 7, d v s om man delar 9 med 7 får man resten 2. Vid nästa likhetstecken delar man upp exponenten 20 till 3.6+2, och sedan gör man en omskrivning av 23 till 8 (nu är vi på andra raden), och om man delar 8 med 7 får man resten 1 och då är det bara en 4 kvar.
Jag är dålig på potensräkning tillsammans med modolus, förstår inte sambanden.
Jag är med på alla potens steg men inte vad modolus betyder för potens översättnignarna
Förstår inte denna kongruens helelr
AlexanderJansson skrev:Förstår inte denna kongruens helelr
Gör en ny tråd för den uppgiften - men det går inte att svara på den frågan om man inte vet vilket tal det är modulo. Det skulle exempelvis kunna vara modulo 5 eller modulo 10, eftersom båda ger resten 2, men inte exempelvis modulo 3, eftersom 22 har resten 1 när man delar med 3, inte 2.
Smaragdalena skrev:AlexanderJansson skrev:Förstår inte denna kongruens helelr
Gör en ny tråd för den uppgiften - men det går inte att svara på den frågan om man inte vet vilket tal det är modulo. Det skulle exempelvis kunna vara modulo 5 eller modulo 10, eftersom båda ger resten 2, men inte exempelvis modulo 3, eftersom 22 har resten 1 när man delar med 3, inte 2.
Finns det något logiskt eller är det bara regler man måste komma ihåg?
Det finns logik bakom - men det är en ganska annorlunda logik som man inte är van vid. Jag tycker det underlättar att tänka på klockan - när klockan är 14 är den ju 2, modulo 12.



