Hur kan det tolkas?
Fru Ramirez vill genom integration bevisa att arean för en godtycklig rektangel är
lika stor som arean för en rätvinklig triangel, där triangelns bas är lika stor som
rektangelns bredd och triangelns höjd är dubbelt så stor som rektangelns höjd.
Fru Ramirez har börjat så här:
1. Tolka integraluttrycket.
2. Genomföra beviset.
(Det ända jag har kommit på att triangels area kan skrivas som (x.y/2) då x är basen och y höjden, detta ger att rektangels area kan skrivas också som ((x.y/2). Jag kunde inte förstå integralen som hon har börjat med.)
Tack på förhand
Har du börjat med att rita?
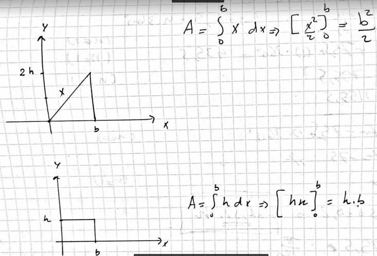
Rita en rektangel med basen b och höjden h i ett koordinatsystem, så att ett hörn är i origo och ett hörn i punkten (b,h). Hur ser det ut om du vill göra en integral över den funktionen som du just har ritat?
Rita en triangel med basen b och höjden 2h i ett koordinatsystem, så att ett hörn är i origo och ett hörn i punkten (b,2h). Hur ser det ut om du vill göra en integral över den funktionen som du just har ritat?
smaragdalena skrev :Har du börjat med att rita?
Rita en rektangel med basen b och höjden h i ett koordinatsystem, så att ett hörn är i origo och ett hörn i punkten (b,h). Hur ser det ut om du vill göra en integral över den funktionen som du just har ritat?
Rita en triangel med basen b och höjden 2h i ett koordinatsystem, så att ett hörn är i origo och ett hörn i punkten (b,2h). Hur ser det ut om du vill göra en integral över den funktionen som du just har ritat?

och jag antar att hon har börjat med att räkna rektangels area då basen är 4 och höjden är 2. Kan det stämma?
Det ser ut som hon har börjat med at räkna på en rektangels area vars bas är 4 och höjd är 2. För mig är det dock oförståeligt varför man skulle göra det eftersom det handlar om att bevisa något för en godtycklig rektangel.
I din beräkning så har du använt dig av att hypotenusan för triangeln beskrivs med kurvan y = x, men är detta verkligen korrekt? Linjen ska ju gå genom (0, 0) och (b, 2h), gör y = x det?
Stokastisk skrev :Det ser ut som hon har börjat med at räkna på en rektangels area vars bas är 4 och höjd är 2. För mig är det dock oförståeligt varför man skulle göra det eftersom det handlar om att bevisa något för en godtycklig rektangel.
I din beräkning så har du använt dig av att hypotenusan för triangeln beskrivs med kurvan y = x, men är detta verkligen korrekt? Linjen ska ju gå genom (0, 0) och (b, 2h), gör y = x det?
Jag tror att det kan stämma så här enligt punkt a.
